MEZE POUŽITÍ MATERIÁLŮ

–    strana 3.3    –
–    strana 3.5    –
–     Úloha 1:     –
–     Úloha 2:     –
–   strana 3.21   –
–     Úloha 3:     –
–     Úloha 4:     –
–     Úloha 5:     –
–     Úloha 6:     –
–     Úloha 7:     –
–     Úloha 8:     –
–   strana 3.32   –
–   strana 3.35   –
–   strana 3.39   –
–   strana 3.43   –
–   strana 3.46   –
–   strana 3.47   –
–   strana 3.48   –
–   strana 3.49   –
– strana 3.51-3.71 –
MEZE POUŽITÍ MATERIÁLŮ
strana 3.2
– autor: –
ŠKORPÍK, Jiří (LinkedIn.com/in/jiri-skorpik)
–  datum vydání:  –
červen 2025; prosinec 2025 (2. vydání)
– název: –
Meze použití materiálů
– sborník: –
– provenience: –
Brno (Česká republika)
– email: –
skorpik.jiri@email.cz

Copyright©Jiří Škorpík, 2025
All rights reserved.

MEZE POUŽITÍ MATERIÁLŮ
strana 3.3

Vymezení pojmu meze použití materiálů

Tento článek nepokrývá problematiku mezí použití materiálu v celé její šíři a zaměřuje se především na popis mechanických mezí použití materiálu (vyhodnocení působení sil a případně teploty na materiál dané součásti), se kterým se lze setkat především v oboru strojírenství. Obecněji má použití materiálu chemické meze, radiační meze, ekonomické meze a ekologické meze, do kterých spadá i recyklace a udržitelnost, navíc může být použití konkrétního materiálu být omezeno i legislativně.

Chemické meze materiálu a jejich zvyšování pomocí povrchových úprav například brynýrování
Chemické působení okolí na materiál se projevuje korozí, kdy materiál reaguje s okolní látkou. Koroze může být povrchová i mezikrystalická. Někdy koroze postupuje do hloubky (například ocel, kdy se starší vrstva rzi odděluje od materiálu) a někdy se vytvoří korozní vrstva, která je pevná a dále nepostupuje (například oxidy u hliníku). K ochraně povrhu se používá chemických či elektrochemických metod (nátěr, galvanizace atd.). Velmi starým příkladem ochrany železných částí je brynýrování (černění oceli), což je záměrné vytvoření pórovité korozní vrstvy, do které je zavsakován olej, který chrání součást proti další korozi. Tato metody se používala už u středověkých brnění a zbraní.
Radiační meze materiálů
Mechanické vlastnosti každého materiálu jsou více či méně ovlivňovány radioaktivním pozadím, ve kterém se nachází. Ionizující záření z radioaktivity prostředí způsobuje vady v materiálu (transmutace základních prvků uvnitř krystalické mřížky i vznik dislokací posunem molekul v krystalické mřížce). Ve výsledku dochází ke změnám mechanických vlastností materiálu (materiál se stává křehčím kvůli dislokacím, viz kapitola Křehhý lom. Navíc se obvykle stává ionizovaný materiál radioaktivním.
Wignerův jev, kdy neutronové záření deformuje krystalickou mřížku
Neutronové bombardování je také příčinnou tzv. Wignerova jevu. Ten nastává, jestliže je jisté velmi vysoké množství molekul pomocí neutronů o vysoké rychlosti posunuto z rovnovážné polohy v krystalické mřížce, pak může nastat samožíhání materiálu, při kterém návratem molekul do rovnovážné polohy v krystalické mřížce se materiál zahřívá a podporuje tím téměř skokovou rekrystalizaci dalších dislokací. Při tomto návratu se uvolní velké množství tepelné energie, což materiál může zahřát nad dovolené teploty. Tento efekt byl poprvé pozorován u grafitového moderátoru neutronů v rámci projektu Manhattan. Dále je známa i havárie reaktoru způsobená tímto jevem (jaderná elektrárna Windscale, 1957).
MEZE POUŽITÍ MATERIÁLŮ
strana 3.4
Ekonomické meze materiálu, kdy levnější materiál má obvykle vyšší provozní náklady
Cena celého životního cyklu každé součásti je dána nejen cenou materiálu, ale i náklady na výrobu, provoz, údržbu a diagnostiku. Některé materiály mohou být v nějakém článku uvedeného řetězce levnější ale jiné dražší než nabízí alternativní materiál – například lopatky tepelných turbín mohou být vyrobeny z levnějších materiálů ale za cenu toho, že budou chlazeny. Dalším příkladem je průměr potrubí, ve kterém proudí kapalina – uspořit materiál lze zmenšením průměru potrubí, ale za cenu nárůstu čerpací práce kvůli tlakovým ztrátám. Proto vznikají různé slitiny, kompozity a jiné typy kompromisů.
Ekologické meze matariálů nepřímo vytváří poptávku po renovacích a recyklacích
Ekonomika pořízení materiálu a ekologie jsou stále více propojené nádoby. Současný legislativní proces totiž směřuje k tomu, aby při pořizování materiálu byly zahrnuty i náklady spojené s udržitelností, respektive nepřímé náklady, které nelze vyčíslit a souvisí s budoucím stavem zdrojů a emisí spojených s těžbou a zpracováním materiálů. Toto jsou tlaky na renovace, respektive renovační služby a recyklaci materiálů. Tímto způsobem vznikají nové profese i společnosti zaměřené na renovaci a recyklaci a současně na zvýšené schopnosti diagnostiky provozu výrobků. Je zajímavé, že s renovací (rebuilding) a recyklací jsou spojené i nové manuální dovednosti, které při velkosériové výrobě začátku 21. století spíše upadaly, respektive nebyl o ně na trhu práce zájem.
Mechanické meze použití materiálů jsou uvedeny v materiálových listech
Co se týká mechanických mezí použití materiálů, tak ty lze vyjádřit hodnotami konkrétních měřitelných fyzikálních veličin materiálů, které bývají u dané materiálu uvedeny v materiálových listech.
Kořenová analýza příčin poruch
Je-li součást dobře navržena a provozována podle dokumentace dané součásti či celé konstrukce, pak by měla po celou životnost být bezporuchová. Pakliže dojde k poruše (dnes se používá často slovo anomálie), respektive překročení některých z mezí, dříve než je vypočítaná doba životnosti součásti, pak je nutná kořenová analýza příčin (Root-Cause Analysis) takové poruchy, viz závěry z vyšetřování jaderných, leteckých či jiných závažných nehod. V opačném případě hrozí další předčasná porucha i po opravě.
MEZE POUŽITÍ MATERIÁLŮ
strana 3.5

Mezní stav napjatosti

Pomocí napjatosti vyhodnocujeme účinky vnějších sil působící na těleso na vnitřní soudržnost tělesa, respektive na mezimolekulové síly v materiálu tělesa. Pojem mezní stav napjatosti tedy už označuje takový vliv vnějších sil, při kterém už daná součást není schopna snést větší zatížení, a nichž by dál plnila funkci, pro kterou byla určena. Pro takovou kvalitativní analýzu zatížení tělesa je nutné nejprve definovat několik pojmů vztahující se přímo k fyzikální veličině napětí jako je mezní napětí, tenzor napjatosti, hlavní napětí, hypotézy pevnosti a dovolené napětí. Klasický analytický výpočet napětí se provádí pomocí teorie nominálních napětí, která ovšem zavádí velké množství zjednodušení, takže k získání reálných hodnot napětí ve vyšetřovaném místě tělesa je nutné nominální napětí upřesnit pomocí teorie koncentrace napětí.

Definice napětí
Vnější síly F působící na těleso se uvnitř tělesa rozkládají na vnitřní síly N do všech směrů tak, jak se mění tvar tělesa a jeho vlastnosti. Vnitřní síla působící kolmo na virtuální plochu v okolí vyšetřovaného bodu tělesa nazýváme vnitřní napětí, které označujeme symbolem σ (Rovnice 1b), jeho průběh odpovídá rozkladu vnitřních sil v tělese na daném virtuálním řezu. Napětí je tedy podobně definováno jako tlak tekutiny, ovšem ve vyšetřovaném bodě tuhého tělesa je téměř vždy v různých směrech různý, viz Obrázek 1a, na kterém je plát s vrubem uprostřed namáhaný silou F a v řezu C lze sledovat rozložení napětí σx v ose-x tak, jak bychom ho očekávali.
– 1: –
Napětí v tělese
(a) průběh napětí v ose-x při zatížení plátu vnější silou F; (b) definice normálového napětí. A [m2] vyšetřovaná plocha; F [N] vnější síla působící na plát; N [N] vnitřní síla; t [m] tloušťka plátu; σ [Pa] napětí.
Definice normálového napětí
Napětí ve třech kolmých základních směrech x-y-z označujeme jako normálové napětí, s tím, že na Obrázku 1a je průběh normálového napětí ve směru osy-x.
Síly, které způobují napětí v tělese
Napětí, respektive vznik vnitřních sil nemusí způsobovat pouze vnější síly, ale i síly hmotnostní, které vznikají v důsledku vnějšího zrychlení (tíha, odstředivá sila apod.). Napětí způsobuje i teplota tělesa, zvláště pokud je rozložena nerovnoměrně. Přesto vnější síly bývají často ty zásadní pro stanovení mezního stavu napjatosti.
MEZE POUŽITÍ MATERIÁLŮ
strana 3.6
Napětí v tělese se přesouvá přes deformace
Nehomogenita rozložení vnitřního napětí souvisí s deformací tělesa. Působením vnitřních sil jako reakce na vnější síly se začnou molekuly v krystalické mřížce posouvat, respektive těleso se začne deformovat, jen tak lze přenést napětí do okolní oblasti. Mezimolekulové působení v materiálu si lze představit jako příhradovou konstrukci, viz Obrázek 2. Napětí působící na nosníky-b až-f se přenesou tím více, čím více se natáhne (zdeformuje) nosník-a, tj. na něm bude největší napětí. Podobné konstrukce je i Eiffelova věž, jestliže někde uvnitř konstrukce této věže bude odebrán jeden nosník, tak sílu, kterou byl tento nosník namáhán se musí přesunout na okolní nosníky, to lze jedině tak, že se více zdeformují – nosníky dále od tohoto místa se zdeformují méně. Tomu se říká koncentrace napětí (viz níže). Proto i u plátu na Obrázku 1 došlo v oblasti odebrání materiálu ke koncentraci napětí.
– 2: –
Napětí versus deformace
(a) princip příhradové konstrukce; (b) detail konstrukce Eiffelovy věže
Houževnaté vs. křehké materiály aneb vrubová houževnatost materiálu
Některé materiály s nesou vysoké deformace než dojde k jejich finálnímu poškození (takové napětí se označuje jako mez pevnosti). Jiné se stejnou mezí pevností jsou při finálním poškození méně zdeformované. Takový materiál bychom nazvali vůči prvně popisovanému jako křehčí, nebo naopak bychom prvně popisovaný materiál vůči druhému říkali houževnatější. Zásadní rozdíl je v tom, že musí-li se materiál více zdeformovat, tak síly na něj působící musí vykonat větší práci než v případě křehčích materiálu (práce jako součin síly a dráhy), proto křehké materiály praskají rychleji (jak dojde k poškození hlavní nosné části, tak ostatní praskají také velmi rychle) než materiály houževnaté, kde se musí vykonat více energie v celém nosném průřezu.
Vrubová houževnatost materiálu se mění s tranzitní teplotou
Materiálová veličina, která je mírou schopnosti absorbovat vysoké energie v malém řezu i bez velkých lokálních deformací se nazývá vrubová houževnatost a měří se pomocí Charpyho kladiva náhlým úderem do malé plochy vzorku materiálu. Hodnoty vrubové houževnatosti jsou závislé na teplotě materiálu podobně jako jejich lomová houževnatost. Teploty, při kterých se prudce snižuje vrubová houževnatost se označují jako tranzitní.
MEZE POUŽITÍ MATERIÁLŮ
strana 3.7
Od křehkého materiálu Titaniku k deformačním zńám automobilů
Například zaoceánský parník Titanik byl na dnešní poměry vyroben z materiálu s nízkou vrbovou houževnatostí, takže úder o ledovec způsobil okamžité lomy v materiálu trupu. Naroti tomu, u dopravních prostředkům je cílem materiál s vysokou schopností přenášet zatížení do co největšího objemu materiálu, tedy se deformovat. Takto lze efektivvně pohlcovat deformační energii při nárazech, viz deformační zóny u automobilů.
Cíle vyhodnocení napjatosti
Cílem je obvykle konstruovat takové tvary součástí, kde bude napětí, pokud možno rovnoměrně rozloženo do celé konstrukce a nikde nepřekročí tzv. dovolené napětí σD. Dovolené napětí navrhuje konstruktér na základě mezních stavů napjatosti materiálu, bezpečnosti a použití součásti. Při překročení dovoleného napětí může součást přestat plnit svou funkci. Základní mezní stavy napjatosti jsou představeny v následující podkapitole.
Stanovení mezních napětí v tělese na příkladu tahové zkoušky
Deformaci tělesa lze zaznamenat jako změnu rozměru tělesa ve třech hlavních směrem, označované jako prodloužení, které označujeme symbolem Δl. Přiřadit napětí ke konkrétní deformaci lze pomocí pracovního diagramu dané součásti, ve kterém je závislost napětí na deformaci tělesa ve sledovaném směru. Nejjednodušší pracovní diagram lze sestavit pro pro tahovou zkoušku tyče, takže takový pracovní diagram zaznamenává napětí v ose tyče a prodloužení tyče.
Pracovní diagram tahové zkoušky se záznamem smluvního napětí
Na Obrázku 3c je závislost prodloužení tyče vyrobené z měkké oceli na normálovém napětí σ zaznamenané při tahové zkoušce. Přičemž tak, jak se tyč prodlužuje se zužuje i její průřez (Obrázek 3b), proto napětí σ je počítáno jako průměrná hodnota napětí vypočítanou z vnější síly F a původního průřezu tyče A0, proto se také výsledné napětí σ označuje jako smluvní (Vzorec 3d). Se vzrůstající silou F se napětí postupně mění až se tyč přetrhne a to přibližně uprostřed, viz Obrázek 3c.
– 3: –
Pracovní diagram měkké oceli
MEZE POUŽITÍ MATERIÁLŮ
strana 3.8
(a) tyč před zatížením; (b) prodloužení tyče po deformaci; (c) pracovní digram; (d) definice smluvního napětí; (e) lom tyče nastane uprostřed. l0 [m] původní délka tyče; Δl [m] prodloužení tyče; σ [Pa] smluvní normálové napětí v tyči – jednotlivá napětí vyznačená v diagramu jsou popsána v následujícím odstavci; ε [1] podélné poměrné prodloužení; δ [1] tažnost (délka vzorku po přetržení); ψ [1] kontrakce (zúžení).
Napětí na mezi úměrnosti určuje modul pružnosti v tahu
Všimněte si několika významných bodů v pracovním diagramu, které charakterizují mechanické vlastnosti daného materiálu, respektive tzv. mezní stavy. Napětí σU označuje tzv. mez úměrnosti – do tohoto napětí je přibližně prodloužení tyče lineární na napětí σ podle lineární Rovnice 4, kde úměrnost mezi napětím a prodloužením označovanou jako modul pružnosti v tahu E lze vypočítat z hodnoty σU.
– 4: –
Napětí v tahu v oblasti úměrnosti
E [Pa·m-1] úměrnost mezi napětím a prodloužením, který se označuje jako modul pružnosti v tahu.
Napětí na mezi pružnosti určuje hranici vratné (elestické) deformace
Napětí σE označuje tzv. mez pružnosti – do tohoto napětí se po zániku vnější sil vrátí tvar součásti do původního stavu, nebo do stavu, který je smluvně ještě považován za původní (obvykle smluvní je 0,005% prodloužení). Toto napětí nebo nižší bychom považovali za dovolené napětí pro danou součást, pokud by jejím kritériem mezního použití byly nevratné deformace.
Od napětí na mezi kluzu se materiál deformuje výrazněji
Napětí σK označuje tzv. mez kluzu – napětí, při kterém se začne tyč výrazně prodlužovat aniž roste napětí. Není-li v pracovním diagramu toto místo patrné, určuje se smluvně jako napětí, při kterém dojde k trvalému prodloužení tyče o 0,2%.
Napětí na mezi pevnosti bývá málokdy současně i dovoleným
σP označuje tzv. mez pevnosti. Všimněme si, že toto napětí je extrémem napětí, při kterém ještě nedojde k porušení celistvosti tyče, ale k lomu tyče při σ1 dojde při minimálním překročení síly odpovídající mezi pevnosti. Toto napětí bychom považovali za dovolené dané součásti, pokud by jejím účelem byla pojistná funkce založena na její destrukci, například pojistné tyče, pojistné membrány (rupture diaphragm) a podobně, nebo nějaké jiné jednorázové použití, kdy je podmínkou pouze nerozpadnout se. Příklad pracovních diagramů pro různé materiály jsou uvedeny například v [Němec et al., 1989, s. 19].
Faktory ovlivňující hodnoty mezních napětí materiálu
Hodnoty jednotlivých mezních napětí při tahové zkoušce závisí na složení materiálu, způsobu zpracování a zejména na teplotě, viz Obrázek 5, na kterém jsou hodnoty naměřených mezních napětí šedé litiny. V Tabulce 6 jsou uvedena naměřená napětí při tahové zkoušce pro některé materiály.
MEZE POUŽITÍ MATERIÁLŮ
strana 3.9
– 5: –
Změny mezních napětí a modulu pružnosti v tahu šedé litiny s teplotou
t teplota [°C]; σ, E [MPa]. Zdroj dat [Krutina, 1973].
– 6: –
  σK   σP   σK   σP
ocel   340-590   392-980 mosaz   ?   392-490
hliník   40-314   60-431 nikl   ?   294-588
měď   ?   216-432 titan   ?   451-755(1314)
Ocel-úhlíková ocel s různými obsahu uhlíku; měď–závisí na způsobu zpracování; mosaz–nad 55% Cu; hliník–rozsah závisí na teplotním zpracování, způsobu tváření a hlavně na příměsích; nikl–závisí na způsobu výroby součásti; titan-údaj v závorce je pro dráty tažené za studena. σ [MPa]. Zdroj dat [Beneš et al., 1974].
Zkoušky tlakem, ohybem a krutem
Zkouška tahem není jediná zkouška, která se u materiálu provádí k získání dat o jeho mechanických vlastnostech. Provádí se například zkouška tlakem jehož pracovní diagram je na Obrázku 7, zkoušky krutem, ohybem atd. [Ptáček et al., s. 436], [Němec et al., s. 16-24]. Každá zkouška zkoumá nějaký konkrétní typ namáhání, nicméně zkouška tahem je základní zkouškou, ze které lze odvodit chování materiálu ve strojírenských aplikací.
– 7: –
Pracovní diagram měkké oceli při zkoušce v tlaku
Napjatost ve vyšetřovaném bodě v případě kombinovaného namáhání
Součásti nejsou obvykle zatěžovány pouze jedním druhem sil a v jednom směru ale kombinovaně, tj. více vnějšími silami s různou charakteristikou jako například na Obrázku 8. Na tomto obrázku je hřídel a namáhána na krut a ohyb. V případě kombinovaného namáhání se síly a momenty od jednotlivých sil a momentů sčítají. Napětí se počítá z rovnováhy sil a momentů sil na vyšetřovaném řezu součásti pomocí metody uvolňování, viz Úloha 1.
– 8: –
Kombinované namáhání hřídele
MEZE POUŽITÍ MATERIÁLŮ
strana 3.10
T [N·m] kroutící moment. V tomto případě síly F1 a F2 představují síly v radiálních ložiscích hřídele. Síla F4 je proměnná a působí spojitě na určitém úseku hřídele a součet její celkové velikosti a síly F3 musí být roven součtu sil F1 a F2. Hřídel je namáhána kroutícím momentem T1.
Tenzor napjatosti jako produkt výpočtu napětí v bodě tělesa
Výpočtem napětí ze sil a momentů sil působící na těleso se zabývá Teorie pružnosti a pevnosti, přičemž výsledkem je tzv. tenzor napjatosti pro vybrané body v tělese, pro které očekáváme nejvyšší napětí, které pak slouží k vyhodnocení napjatosti.
Do tenzoru napjatosti se zapisují normálová a smyková napětí
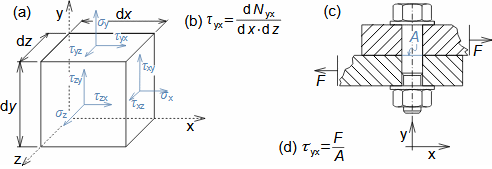
Tenzor napjatosti obsahuje hodnoty tří normálových napětí (σx; σy; σz) a také hodnoty šesti možných smykových napětí (τyx; τzx; τxy; τzy; τxz; τyz), viz Obrázek 9b. Smykové napětí vzniká tam, kde je proměnná hodnota normálového napětí, což způsobuje nejen prodloužení elementární krychle v okolí vyšetřovaného bodu ale také i zkos, viz Obrázek 9a. Smykové napětí τyx existuje existuje-li i změna normálového napětí σx ve směru-y v okolí vyšetřovaného bodu. Smykové napětí τzx existuje existuje-li i změna normálového napětí (σx) ve směru-z v okolí vyšetřovaného bodu atd., viz Rovnice 9c. Takže druhý index u značky τ označuje normálový směr a první index směr v jakém se normálové napětí mění. Smyková napětí od změn jednotlivých normálových napětí se zapisují do stejného sloupku v tenzoru napjatosti jako dané normálové napětí.
– 9: –
Tenzor napjatosti
(a) detail průběhu normálového napětí σx plátu s vrubem při namáhání tahem z Obrázku 1 a deformace způsobené změnou tohoto napětí (obrázek je značně zjednodušen, přesnější zobrazení viz. Obrázek 28); (b) tvar tenzoru napjatosti ve vyšetřovaném bodě tělesa. T-tenzor napjatosti v bodě tělesa; dσyx (∂σx/∂y)·d y je přírůstek napětí σx ve směru y, viz článek Technická matematika [Škorpík, 2023]; γ [rad] zkos elementu tělesa; τ [Pa] smykové napětí (kladné číslo). V případě normálových napětí je zvykem napětí způsobené tahem označovat kladně a tlakem záporně.
MEZE POUŽITÍ MATERIÁLŮ
strana 3.11
Definice smykového a sdruženého napětí
Smykové napětí je definováno jako přírůstek vnitřních sil působící na elementární krychli ku tečné ploše elementární krychle. Například Rovnicí 10b lze stanovit smykové napětí τyx vznikající od změny normálového napětí σx ve směru-y, ostatní smyková napětí lze stanovit podobně. Současně musí platit pro smyková napětí tyto rovnosti τyx=τxy, τxz=τzx, τyz=τzy, kdyby se totiž nerovnaly, pak by momenty od tečných sil působící na elementární krychli způsobovaly její rotaci ve směru převažující síly, respektive napětí. Z toho důvodu se o jednotlivé dvojice smykových napětí v uvedených rovnostech označují jako sdružená napětí. Smyková napětí mají významnou velikost například při namáhání krutem (viz Obrázek 8) a smykem, viz Obrázek 10c.
– 10: –
Smykové napětí
(a) elementární krychle s vyznačením smykových napětí; (b) definice smykového napětí τyx; (c) vznik smykového napětí při namáhaní šroubového spoje smykem; (d) výpočet smykového napětí ve šroubu při namáhání převážně smykem. A [m2] průřez šroubu; dNyx [N] přírůstek vnitřní normálové síly Nx ve směru-y.
Definice hlavního napětí ve vyšetřovaném bodě tělesa
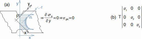
Všimněte si, že velikosti jednotlivých napětí v tenzoru napjatosti pro vyšetřovaný bod jsou závislá na stanovení orientace soustavy souřadnic. Například pootočením soustavy souřadnic kolem osy-z na Obrázku 1 nabudou normálová napětí σx, σy jiných hodnot. Dokonce při takovém pootočení soustavy souřadnic, kdy ve vyšetřovaném bodě bude osa-y tečnou k průběhu napětí nenaměříme žádné smykové napětí τyx, protože derivace ∂σx/∂y bude rovna nule, viz Obrázek 11a. Lze tedy jednoduše předpokládat, že lze prostorovou soustavu souřadnic natočit tak, aby derivace normálových složek neexistovaly a tedy ani smyková napětí. V tenzoru napjatosti tedy budou pouze normálová napětí, které při této orientaci os označujeme jako hlavní napětí a označují se indexy 1 až 3, respektive jako σ1, σ2, σ3, viz Obrázek 11b.
MEZE POUŽITÍ MATERIÁLŮ
strana 3.12
– 11: –
Hlavní napětí
(a) vliv změny orientace soustavy souřadnic na hodnoty normálových a smykových napětí; (b) tenzor hlavních napětí. t-tečna k normálovému napětí ve vyšetřovaném bodě P. σ1, σ2, σ3 [Pa] hlavní napětí.
Hlavní napětí jako klíč k určení stavu napjatosti
Lze dokázat, že hlavní napětí jsou i extrémními normálovými napětími a právě tato hlavní napětí jsou klíčové pro určení mezního stavu napjatosti ve vyšetřovaném tělese.
Kubická rovnice pro výpočet hlavních napětí
Převést neboli transformovat tenzor napjatosti ve vyšetřovaném bodě tělesa (Obrázek 9b) na tenzor hlavních napětí lze pomocí kubické Rovnice 12. Kořeny této kubické rovnice, respektive hodnoty hlavních napětí lze vypočítat pomocí obecného řešení kubické rovnice. Přičemž je zvykem označovat jednotlivé kořeny tak, aby platilo σ1σ2σ3. V případě dvouosé napjatosti je invariant I3 roven nule a kubickou rovnici lze zjednodušit na kvadratickou se dvěma kořeny σ1, σ2.
– 12: –
Tenzor hlavních napětí
I1, 2, 3-parametry rovnice, též se označují i jako invarianty tenzoru napjatosti. Odvození rovnice pro výpočet hlavních napětí je uvedeno například v [Němec et al., 1989, s. 43-47], [Kuba, 1977, s. 20], [Halama, 2011, s. 55].
Tenzor napjatosti ve válcové soustavě souřadnic
Uvedený postup výpočtu hlavního napětí je pro pravoúhlou soustavu souřadnic. V Technické praxi se ale také používá válcová soustava souřadnic nebo sférická soustav souřadnic. Tyto soustavy se používají v případech určení napětí u symetrických těles od symetrického namáhání, jako jsou rotační součásti namáhané odstředivým zrychlením nebo válcové nádoby a potrubí namáhané od vnitřního nebo vnějšího tlaku, viz Obrázek 13a. Důvod použití těchto souřadnic je, že při symetrickém namáhání jsou normálová napětí současně i hlavní, respektive od nich nevznikají tečná napětí, což plyne z podmínek Obrázek 13(d-f).
MEZE POUŽITÍ MATERIÁLŮ
strana 3.13
– 13: –
Tenzor napjatosti osově symetrického tělesa
(a) příklad užití válcové soustavy souřadnic; (b) element ve válcové soustavě souřadnic; (c) tenzor napjatosti ve válcové soustavě souřadnic, který lze odvodit z elementu na obrázku (b) stejným postupem jako tenzor napjatosti pro pravoúhlou soustavu souřadnic (Obrázek 9).; (d-f) podmínky viz text výše. r-radiální směr; θ-obvodový směr; a-osový směr. r [m] poloměr. Vysvětlení nulových hodnot tečných napětí ve válcové soustavě souřadnic je uvedeno v Příloze 8.
Hypotézy pevnosti pro vyhodnocení napjatosti
Nyní řešme problém jak vyhodnotit napětí v tělese, když máme k dispozici pouze údaje o tahové zkoušce daného materiálu, ale součást je namáhána jinak než jen tahem. V takovém případě lze využít hned několik hypotéz vyhodnocení mezního stavu napjatosti na základě údajů z tahové zkoušky a hlavních napětí. Souhrn těchto hypotéz naleznete například v [Němec et al., 1989, s. 75] a pro výběr vhodné hypotézy rozhoduje například to, jestli je materiál křehký nebo houževnatý, nicméně nejpoužívanější je tzv. energetická hypotéza pevnosti.
Přepočet hlavního napětí na ekvivalentní pomocí energetické hypotézy
Energetická hypotéza říká, že hlavní napětí σ1, σ2, σ3 lze přepočítat na napětí ekvivalentní σekv (Rovnice 14), při kterém se spotřebuje stejná energie pro přetvoření 1 cm3 materiálu jako při jednoosé napjatosti při tahové zkoušce. To znamená, že pokud je mezní stav použít součásti takový, že nesmí dojít k překročení meze pružnosti, tak napětí σekv musí být menší nebo rovno než σE získaní při tahové zkoušce. Ekvivalentní napětí se někdy označuje i jako redukované nebo von Mises. Na Obrázku 15 je model šroubového spoje, který vizualizuje ekvivalentní napětí.
– 14: –
Ekvivalentní napětí
σekv [Pa] ekvivalentní napětí k normálovámu napětí při tahové zkoužce ve vyšetřovaném bodě.
Vizualizace ekvivalentního napětí v tělese
Ekvivalentní napětí se někdy označuje i jako redukované nebo von Mises. Na Obrázku 15 je model šroubového spoje, který vizualizuje ekvivalentní napětí.
MEZE POUŽITÍ MATERIÁLŮ
strana 3.14
– 15: –
Vizualizace ekvivalentního napětí ve šroubovém spoji příruby potrubí
Vytvořeno softwarovým nástroje Ansys. Autor: Ladislav Šnajdárek
Hypotéza maximálního smykového napětí
Vedle energetické hypotézy se i paralelně používá i hypotéza smykových napětí zejména u křehčích materiálů, tj. hledá se taková orientace soustavy souřadnic, na které narazíme na maximální smykové napětí. Nalezená hodnota maximálního smykového napětí τmax nesmí být vyšší než dovolené smykové napětí pro daný materiál.
Stanovení maximálního smykového napětí pomocí Mohrovy kružnice
Maximální smykové napětí nalezneme pomocí normálového napětí σf pro libovolnou osu-f procházející vyšetřovaným bodem, ať je jakoliv orientovaná vůči soustavě souřadnic x-y-z, ke který byl stanoven původní tenzor napjatosti-T, viz Obrázek 16a. Ke každému normálovému napětí σf naměříme smykové napětí τf, které musí být kolmé na osu-f, respektive leží v rovině kolmé na osu-f. Problém je, že v této rovině od osy-f lze měřit v nekonečně mnoha směrech, takže se hodnota smykového napětí τf bude nalézat v určitém rozsahu. Tento rozsah možných smykových napětí τf lze vypočítat pomocí Mohrových rovnic, které jsou rovnicemi kružnic a průběh těchto napětí lze tedy vyjádřit kružnicemi, které označujeme jako Mohrovy kružnice, viz Obrázek 16b. Středy Mohrových kružnic leží na ose normálového napětí σf jejich průměr je rozdílem mezi jednotlivými hlavními napětími, viz Obrázek 16b. Hodnoty smykových napětí ve vyšetřovaném bodě pro různé orientace soustavy souřadnic mohou nabývat pouze hodnot odpovídají vyšrafované oblasti mezi kružnicemi. Modře je vyznačen případ hodnot smykových napětí τf pro konkrétní napětí σf. Z Mohrových kružnic je jasně patrné, že v případě že osa-f je totožná s nějakou ze tří os hlavního napětí, tak smykové napětí je rovno nule. Dále lze z Mohrových kružnic odečíst hodnotu maximálního možného smykového napětí τmax pro vyšetřovaný případ, viz Rovnice 16c.
MEZE POUŽITÍ MATERIÁLŮ
strana 3.15
– 16: –
Redukované napětí
(a) vyznačení osy-f procházející vyšetřovaným bodem a normálového σf a smykového napětí τf; (b) Mohrovy kružnice; (c) rovnice maximálního smykového napětí. τmax [Pa] maximální smykové napětí.
Předepsané dovolené napětí součásti musí zohledňovat i případné vady v materiálu
Problém při stanovení zda vyšetřovaná součást za daných podmínek dosáhne mezního napětí i při přepočtu na ekvivalentní napětí je v běžné technické praxi v tom, že tahová zkouška byla provedena na hladké tyči z materiálu bez vad. Vadné tyče ze zkoušek lze vyřadit nějakou metodu nedestruktivní defektoskopie (ultrazvuk, rentgen..). Kdežto v reálu může součást obsahovat nějaké vady materiálu. Proto se v technické praxi zavádí pojem dovolené napětí. Dovolené napětí vypočítáme jako podíl meze pružnosti σE (nebo jiného mezního napětí podle toho jakou mezní událost počítáme) a součinitele bezpečnosti k, viz. Vzorec 17.
– 17: –
Dovolené napětí
k [1] součinitel bezpečnosti; σD [Pa] křivka horního napětí, které je technicky použitelná.
Určení součinitele bezpečnosti
Součinitel bezpečnosti zahrnuje pravděpodobnost vady v materiálu a jeho hodnota se v běžné technické praxi pohybuje kolem hodnot 2 až 3 (vzpěr) [Krutina, 1972, s. 48]. V případech, kde je zaručena kvalita materiálu a hladkost povrchu součásti i nižší. Nižší hodnoty součinitele bezpečnosti lze použít i u součásti jejichž porucha (lom, deformace) nepovede k nebezpečným haváriím a pod. Naopak v případech, kdy je nutné zaručit, že je materiál kvalitní a bez vad je nutná defektoskopie dané součásti před její instalací a použitím (tlakové nádoby, jaderné reaktory apod.). Tento přístup je s moderními prostředky čím dál častější.
MEZE POUŽITÍ MATERIÁLŮ
strana 3.16
Nominální napětí (Jmenovité napětí) v daném řezu od nominálního namáhání
Napětí ve vyšetřovaném řezu lze vypočítat, jestliže zavedeme několik zjednodušujících předpokladů. Prvním krokem bývá rozložení namáhání vyšetřovaného tělesa na nominální "elementární" druhy namáhání jako je tah, tlak, smyk, ohyb a krut. Například na Obrázku 18 je tyč-A vetknutá ve stěně-C namáhána přes páku-B silou F, jestliže nás zajímá napětí v tyči A, pak lze vycházet z toho, že tato tyč je namáhána od síly F krutem T kolem osy-z a ohybem M kolem osy-y a také smykem v rovině x-y. Napětí od jednotlivých nominálních namáhání se označují jako nominální napětí ve vyšetřovaném řezu. Výsledné napětí v jednoltivých směrech se vypočítá jako součet napětí od jednoltivých namáhání, viz Úlohy 1 a 2.
– 18: –
Rozložení namáhání tělesa na jednotlivá nominální namáhání
Namáhání konstrukce (a) silou F rozloženo do jednotlivých druhů nominálních namáhání za účelem stanovení nominálních napětí: (b) krut; (c) ohyb; (d) smyk. M [N·m] ohybový moment; T [N·m] kroutící moment; l [m] délka.
Výpočet nominálních napětí pomocí teorie pro prizmatické pruty
Nominální napětí se počítají pomocí vzorců odvozených za zjednodušujícího předpokladu, že napětí je v řezu rozloženo jako by byl součásti prizmatického/hladkého prutu, viz Obrázek 19. Přičemž rozlišujeme teorii přímých prutů a prutů zakřivených. V případě disků se uvažuje, že vyšetřovaným průřezem prochází disk neměnného průřezu. Mezi teorii nominálních namáhání ještě spadá teorie skořepin. Princip odvození vzorců uvedených teorií jsou představeny například v [Szabó, 1967], [Goodno and Gere, 2016] a obvykle vycházejí z elementární krychle.
– 19: –
Rozložení namáhání těles na jednotlivá nominální namáhání
Příklady nahrazení reálných těles prutem procházející vyšetřovaným průřezem:
MEZE POUŽITÍ MATERIÁLŮ
strana 3.17
(a) vzorec pro nominální napětí v ohybu kuželové prutu je stejný jako pro prizmatický prut kruhového průřezu; (b) vzorec pro nominální napětí v tahu zužujícího obdélníkového prutu je stejný jako pro prizmatický prut obdélníkového průřezu, přičemž ohybový moment záleží na umístění vyšetřovaného průřezu a je roven M=F·x.
Nominální napětí nejsou funkcí materiálových veličin, pouze průřezu a druhu namáhání
Vzorce pro nominální napětí nejsou funkcí materiálových veličin, respektive rozložení napětí ani výsledek nezáleží na materiálu tělesa, viz vzorce pro nominální napětí v tahu, ohybu, smyku, krutu a přetlaku pro obdélníkový průřez, kruhový a trubkový průřez na Obrázcích 20, 21, 22, 23 a 24. Všimněte, že průběhy napětí od ohybového a kroutícího momentu jsou lineární bez ohledu na tvar průřezu. Další vzorce pro jiné tvary těles naleznete v katalozích vzorců, v češtině například [Krutina, 1973, s. 43].
– 20: –
Nominální napětí pro tah
Nominální napětí pro tah: h, t, d [m] rozměry. S-střednice. Index nom označují nominální napětí pro vybrané body na průřezu (obvykle tam, kde dosahuje maxima).
– 21: –
Nominální napětí pro ohyb
Nominální napětí pro ohyb: M [N·m] ohybový moment; I [m4] moment setrvačnosti průřezu.
– 22: –
Nominální napětí pro smyk
Nominální napětí pro smyk: F [N] smyková síla působící v daném řezu; Q [m3] první moment plochy průřezu nad/pod vyšetřovaným bodem tečného napětí; b2 [m] délka tětivy kruhové úseče mezi průměry d1 a d2.
MEZE POUŽITÍ MATERIÁLŮ
strana 3.18
– 23: –
Nominální napětí pro krut
Nominální napětí pro krut: T [N·m] kroutící moment; Ip [m4] polární moment setrvačnosti průřezu. Vzorec pro obdélníkový průřez je přibližný, respektive je odvozený za předpokladu, že h>>t.
– 24: –
Nominální napětí pro trubku namáhanou vnitřní/vnějším tlakem
Nominální napětí pro trubku namáhanou vnitřní/vnějším tlakem: p [Pa] tlak. Značení normálových tlaků vychází z Obrázku 13.
Nominální napětí v ohybu má proměnnou normálovou složku a tedy má i smykovou
Nominální napětí v ohybu je proměnné (respektive má lineární průběh bez ohledu na tvar řezu), proto při něm vzniká i smykové napětí. Což je způsobeno tím, že je-li někde moment M, pak existuje i posouvající síly, které vytváří smyk jako v případě Obrázku 22 a obráceně, viz Úloha 1 a Úloha 2.
–     Úloha 1:     –
Uzavřená trubka s vnitřním přetlakem 8 MPa leží na dvou podporách, viz obrázek. Tato trubka je zatížená také silami F1 a F2. Stanovte tenzory napětí a ekvivalentní napětí ve čtyřech vyznačených bodech označených a, b, c, d řezu trubky nacházející v oblasti maximálního ohybového momentu Mz. K určení napětí použijte vzorce pro nominální napětí. Vliv vnějšího tlaku p1 považujte za nevýznamný. Vnitřní průměr trubky je d2 = 3 cm, vnější průměr trubky je d1 = 5 cm.
Řešení úlohy je uvedeno v Příloze 1.
Obrázek k úloze
MEZE POUŽITÍ MATERIÁLŮ
strana 3.19
Vznik koncetrace napětí v případě změny průřezu
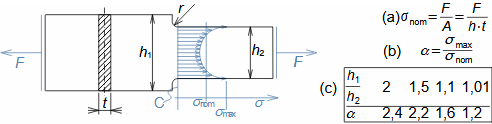
Vypočítaná napětí pomocí teorie nominálních napětí se více či méně mohou od reálného zatěžování odlišovat zejména proto, že nezohledňují geometrické změny vyšetřovaného průřezu, tj. nepředpokládají změnu tvaru a velikosti průřezu v bezprostředním okolí vyšetřovaného řezu (což plyne ze zjedoušujícího předpokladu nádrady za prizmatický prut v daném řezu). V případě změny průřezu musí totiž docházet k přerozdělení napětí, takže v místech úbytku řezu se napětí zvyšuje a naopak. V případě, že v okolí vyšetřovaného průřezu je prudká změna tvaru a velikosti řezu, pak už jsou rozdíly oproti nominálním napětí tak výrazné, že hovoříme o tzv. koncentraci napětí. Při započítání koncentrace napětí se maximální napětí v řezu oproti nominálnímu může podstatně zvýšit.
Příklad koncetrace napětí a definice součinitele koncentrace napětí
Na Obrázku 25 je o plochý prut s obdélníkovým průřezem namáhaný tahem, který mění svou šířku z h1 na h2. Nominální napětí σnom je konstantní, ale reálné napětí má vrcholy σmax v oblasti změny průřezu, přičemž poměr maximálního σmax a σnom nominálního napětí ve vyšetřovaném řezu se označuje jako součinitel koncentrace napětí α, viz Vzorec 25b.
– 25: –
Nominální napětí a součinitel koncentrace napětí
(a) výpočet nominálního napětí pro případ plochého prutu namáhaného tahem; (b) definiční vzorce součinitele koncentrace napětí; (c) hodnoty součinitele koncentrace napětí pro plochý prut s vrubem namáhaný tahem. d, h [m] délka; r [m] poloměr; α [1] součinitel koncentrace napětí; σmax [Pa] maximální napětí v řezu. Hodnoty koncentrace napětí v tabulce jsou pro poměr r/h1=0,1.
Citlivost koncentrace napětí na prudkost změn průřezu
Koncentrace napětí, respektive součinitel koncentrace napětí se obvykle zvětšuje s tím jak roste prudkost změny průřezu, respektive místa, kde se zatížení prudce přenáší na menší plochu. Tomuto vlivu se říká vrubový účinek. Dobře lze prezentovat vliv tvaru vrubu na součinitel koncentrace napětí na plochém prutu s různým typem kruhového vrubu, ale se stejnou hloubkou těchto vrůbů, viz Obrázek 26. Z toho důvodů se konstruktéři snaží konstruovat součásti bez ostrých přechodů.
MEZE POUŽITÍ MATERIÁLŮ
strana 3.20
– 26: –
Porovnání součinitele koncentrace napětí dvou tvarově odlišných vrubů se stejným rozměrem
Porovnání součinitele koncentrace napětí dvou tvarově odlišných vrubů se stejným poměrem h2/h1=0,625
Příklady vysoké koncentrace napětí včetně závitů
Vrubový účinek je patrný i u tyčí s různou drsností povrchu, broušené povrchy budou mít součinitel koncentrace napětí blízký hodnotě 1, kdežto u hrubých povrchů je nutné počítat z hodnotou vyšší. Dalším příkladem jsou různé druhy závitů. V případě Whitworthůvých závitů s výrazně zaoblenými konci je hodnota koncentrace napětí 2-4, ale u závitů metrických 5-6. Vady v materiálu také způsobují koncentraci napětí jako vruby, protože se jedná o náhlou změnou velikosti zatěžovaného průřezu.
Určení součinitele koncentrace napětí
Hodnota součinitele koncentrace napětí α záleží na tvaru přechodu, tvaru řezu a druhu namáhání. Méně záleží na materiálu. Toho se využívá při vyšetřování napětí, protože součinitel koncentrace napětí pro frekventované případy geometrických změn lze změřit a tato měření jsou přenositelná. Hodnoty součinitele koncentrace napětí z těchto měření bývají také uváděny ve sbírkách vzorců z pružnosti a pevnosti, například [Pilkey et al., 2020].
Využití teorie nominálních napětí v technické praxi
V běžné technické praxi je tedy snaha přizpůsobit tvar vyšetřované součásti nějaké dobře popsané geometricky hladké součásti nebo jejich kombinací, pro které lze stanovit nominální napětí a v případě přechodů využít součinitele koncentrace napětí. Jestliže se součást skládá z několika geometricky hladkých těles (například odstupňovaná hřídel na Obrázku 8, geometricky hladké těleso s vrubem jako v Úloze 2 apod.) lze také určit napětí ve vyšetřovaných řezech pomocí vzorců pro nominální napětí a hodnot koncentrace napětí v daných řezech. Pouze v případech, u kterých se to vyplatí, se řeší zcela nové tvary nákladnějším způsobem, například metodami MKP a experimenty.
–     Úloha 2:     –
Vyhodnoťte napjatost v oblasti vrubu a oblasti vetknutí plochého prutu. Rozměry prutu a jeho zatížení je patrné z obrázku. Materiálem prutu je ocel s mezí pružnosti 350 MPa. Stanovte zda v nějakém místě prutu bude dosažena mez pružnosti.
Řešení úlohy je uvedeno v Příloze 2.
MEZE POUŽITÍ MATERIÁLŮ
strana 3.21
Obrázek k úloze
F2 [N·m]. Rozměry na obrázku jsou v mm.

Mezní stav deformace

Mezní stav deformace tělesa je takový jeho stav, ve kterém se deformace funkčně přípustné mění na deformace funkčně nepřípustné, přičemž funkčně nepřípustná deformace může být jak pružná, tak plastická. Deformaci způsobí jednak jakákoliv síla působící na materiál a jednak změna teploty. V případě deformací od zatížení rozlišujeme nominální deformace od nominálních napětí (zde počítány podle Hookeova zákona), lokální deformace (zatížení, které deformuje významně okolí svého působiště), časově podmíněné deformace jako je tečení, kdy materiál trvale mění své rozměry pod zatížením. Posledním typem deformace jehož výpočet je zde popsán je teplotní roztažnost.

Hookeův zákon lineární mechaniky izotropních materiálů
Hookeův zákon je zjednodušující předpoklad, že deformace těles jsou lineární k napětí. Tento předpoklad lze uspokojivě uplatnit u většiny materiálů v oblasti jeho úměrnosti, viz tahová zkouška tyče na Obrázku 3 a Vzorec 4. Tento předpoklad zavedl anglický fyzik Robert Hooke (1635-1703) po zkušenostech s deformacemi těles. Rovnice vycházející z Hookeova zákona jsou základem pro tzv. lineární mechaniku izotropních materiálů. Vedle toho existuje ještě nelineární mechanika zabývající se deformacemi, u kterých Hookeův zákon neplatí – tato mechanika není předmětem tohoto článku.
Deformuje-li se těleso v jednom směru, pak se deformují i ve zbývajícíh dvou normálových směrech
Typické pro většinu materiálů je, že při namáhaní ve směru jedné osy se vyšetřované těleso nedeformuje pouze v tomto směru, ale i ve směrech příčných, jak ukazuje Obrázek 3b, e a Obrázek 27a. Tj. normálové napětí způsobuje podélné i příčné deformace. Poměr mezi příčným a podélným poměrným prodloužením se označuje jako Poissonovo číslo ν, Vzorec 27b. V případě izotropních materiálů musí být tento poměr stejný i pro druhý příčný směr, v tomto případě v ose-z.
MEZE POUŽITÍ MATERIÁLŮ
strana 3.22
– 27: –
Normálové deformace v lineární mechanice
(a) znázornění příčné deformace; (b) Poissonovo číslo; (c) rovnice normálových deformací. ε [1] poměrné normálové prodloužení/zúžení; ν [1] Poissonovo číslo (jedná se o poměr absolutních hodnot, protože poměrná deformace ε může být i záporná). b, l [m] délkové rozměry (index 0 označuje rozměr před zatížením).
Normálové deformace v jsou funkcí pouze normálových napětí
V oblasti lineárních deformací je Poissonovo číslo pro daný materiál konstantní, viz Tabulka 29. Závislost normálové deformace (deformace ve směru normálového napětí, tady ve směru hlavních os) na jednotlivých normálových napětí v lineární mechanice lze relativně snadno odvodit kombinací Hookeova zákona a Poissonova čísla, respektive Vzorce 4 aplikované na všechny tři směry, viz Vzorce 27c pro poměrná prodloužení [Budynas and Sadegh, 2020, s. 20] (v češtině [Němec et. al, 1967, s. 97]).
Výpočet zkosu pomocí modulu pružnosti ve smyku
V lineární mechanice lze pomocí modulu pružnosti v tahu a Poissonova čísla stanovit i hodnotu zkosu γ z Obrázku 9a. Uvedený obrázek je velmi zjednodušen, ve skutečnosti k deformaci elementu tělesa dojde ze všech stran jak ukazuje Obrázek 28a. Zkos nevzniká pouze v důsledku smykového napětí τyx, ale také v důsledku napětí τxy, které je sdružené k napětí τyx (|τxy|=|τyx|). Výsledný zkos γ je definován, tak jak je to uvedeno na Obrázku 28a. Pro jeho velikost lze v lineární mechanice odvodit Vzorec 28b (v češtině například [Szabó, 1967, s. 101]), kde za τ lze dosadit jako |τxy| i |τyx|. Odtud lze vyjádřit třetí konstantu lineární mechaniky nazývanou jako modul pružnosti ve smyku G (Vzorec 28c).
– 28: –
Zkos v lineární mechanice
(a) znázornění smykové deformace; (b) rovnice lineární závislosti mezi smykovým napětím a zkosem; (c) definice modulu pružnosti ve smyku. γ [rad] zkos; G [Pa] modul pružnosti ve smyku.
Běžné hodnoty materiálových veličin v lineární mechanice
Modul pružnosti v tahu E, Poissonovo číslo ν a modul pružnosti ve smyku G jsou základní materiálové konstanty lineární mechaniky. K určení jedné této konstanty stačí znát zbývající dvě, podle Vzorce 28c. Tyto konstanty vystupují také v rovnicích napjatosti i deformace těles.
MEZE POUŽITÍ MATERIÁLŮ
strana 3.23
– 29: –
  E   νG   E   ν G
ocel   210   0,25 84 mosaz   103,5   0,33 38,89
hliník   70,3   0,345 26,1 nikl   199,5   0,312 76
měď   129,8   0,343 48,3 titan   115,7   0,321 43,8
E [GPa]; ν [1]; G [GPa].
Definice nominální deformace od nominálních napětí
Nominální deformací se obvykle označuje malá deformace tělesa jako celku od nějakého druhu nominálního napětí. Odvození vzorců pro nominální deformace je už obtížnější než pro nominální napětí, ale opět se z různých zjednodušení a podmínky velmi malých deformací, které nemají podstatný vliv na plochu vyšetřovaného průřezu. Tak lze odvodit vzorce pro výpočet nominální deformace pro tah/tlak (Vzorce 30), ohyb (Vzorce 31), smyk (Vzorce 32) i krut (Vzorce 33) a přetlak (Vzorce 956).
Obecný vzorec pro nominální deformaci v tahu
Vzorec 30 popisuje nominální deformaci tělesa namáhaného tahem či tlakem pro případ konstantního napětí, respektive zatěžovaného průřezu. V případě, že na těleso působí více sil jinak vzdálených od počátku se deformace od jednotlivých sil sčítají, viz Příklad 30b.
– 30: –
Nominální deformace geometricky hladkého tělesa při tahu
(a) obecný vzorec; (b) aplikace pro případ proměnného napětí. Nominální napětí σnom se vypočítá pro vyšetřovaný druh průřezu podle Vzorců 20.
Princip výpočtu nominální deformace v ohybu
Při stanovení nominální deformace tělesa namáhaného ohybem se vychází z toho, že průběh napětí je lineární, ať je tvar průřezu jakýkoliv podle Obrázku 21. To znamená, že element tělesa (Obrázek 31a) se zdeformuje tak, že jeho horní vlákno se prodlouží přímo úměrně velikosti nominálního napětí σnom a naopak horní vlákno zkrátí (Obrázek 31b). Při stanovení prohnutí střednice od dy lze tedy vycházet z podobnosti trojúhelníků a-b-d a 0-c-d, respektive jejich vnitřního úhlu α a sestavit diferenciální Rovnici 31c. Prní integrací Rovnice 31c získáme směrnice ohybové čáry nosníku na souřadnici x, druhou integrací nominální deformaci, respektive prohnutí y. Obecně se postupuje tak, že se odvodí rovnice pro směrnici dy/dx a pak se integrací této rovnice stanoví průhyb v požadovaném bodě, viz příklad prohnutí vetknutého nosníku zatíženého osamocenou silou na Obrázku 31e a řešení Úlohy 3. V případě, že podél ohybové čáry se mění průřezy, tak se vychází z okrajové podmínky, že derivace průhybové čáry je v místě přechodu na jiný průřez stejná.
MEZE POUŽITÍ MATERIÁLŮ
strana 3.24
– 31: –
Nominální deformace geometricky hladkého tělesa při ohybu
ynom [m] nominální deformace při ohybu (prohnutí); e [m] vzdálenost strany elementu namáhané na tah od střednice ohybu; dy/dx [1] směrnice (tečna) průhybové čáry; α [rad] pomocný úhel. Počátek soustav souřadnic-0 je obvykle tam, kde je i hodnota směrnice průhybové čáry rovna 0. Nominální napětí σnom se vypočítá pro vyšetřovaný druh průřezu podle Vzorců 21.
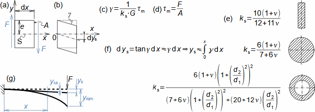
Princip výpočtu nominální deformace ve smyku pomocí součinitele pro smyk
Nominální deformace od posouvajících sil ys, respektive namáhání smykem, ve směru působení způsobuje zkos, viz Obrázek 32(a-b). Tedy se projevuje navenek stejně jako ohyb prohnutím y součásti, přičemž zkos γ od posuvných sil je přímo úměrný střednímu nominálnímu napětí ve vyšetřovaném průřezu σm a nepřímo úměrné materiálové konstantě G a bezrozměrovému součiniteli pro smyk ks, viz Rovnice 32e, které jsou uvedeny v [Pilkey and Chang, 1978, s. 12]. Výsledná nominální deformace od smyku je pak integrací elementární deformace dys přes celou délku střednice, viz Rovnice 32f. Nominální deformace při smyku má obvykle menší hodnoty než nominální deformace od ohybu a její vliv klesá s délkou průhybové čáry. Například je-li poměr šířky prutu ku jeho délce menší než 0,1, pak se už vliv smyku na deformace považuje za nevýznamný [Němec et al., 1989, s. 129], protože zatím co průhyb od ohybu roste exponenciálně, tak od smyku lineárně, viz Obrázek 32g. Pokud vliv má, tak výsledná deformace ve směru-y je součtem deformace od ohybových i smykových sil.
– 32: –
Nominální deformace geometricky hladkého tělesa při smyku
MEZE POUŽITÍ MATERIÁLŮ
strana 3.25
(g) porovnání výsledné deformace od smyku ys a deformace od ohybu ynom; γ [°] zkos; ks [1] součinitel pro smyk (shear form factor); A [m2] plocha vyšetřovaného průřezu; ys [m] nominální deformace při smyku; yx,s [m] nominální deformace při smyku sil ve vzdálenosti x od počátku působení smykové síly; τm [Pa] střední nominální napětí na vyšetřovaném řezu (v tomto případě při namáhání smykem).
–     Úloha 3:     –
Vypočítejte nominální deformaci nosníků z Úlohy 2 a 1, jestliže modul pružnosti v tahu materiálu obou nosníku je 210·103 MPa. V případě Úlohy 2 vliv vrubu vynechte.
Řešení úlohy je uvedeno v Příloze 3.
Deformace prutu
Princip výpočtu nominální deformace v krutu
V případě těles namáhaných kroutícím momentem T lze uvažovat zkroucení jeho jednotlivých elementů o délce dx lineárně o úhel dθx podle Rovnice 23c, kde úhel má počátek na střednici S tělesa (Obrázek 23). Integrací úhlu zkroucení dθx jednotlivých elementů po střednici délky l0 získáme výsledné zkroucení θnom tělesa na jeho vzdálenějším konci (Obrázek 33a a viz Úloha 4.). Při integrování lze využít vzorců pro nominální napětí ve smyku (viz Vzorce 23) aplikované na element tělesa podle Obrázku 33b, přičemž zkos γ je funkcí nominálního smykového napětí τ podle Vzorce 28b.
– 33: –
Nominální deformace tělesa při krutu
(a) příklad zkroucení hladkého tělesa ve tvaru kuželu; (b) krut elementu tělesa; (c) rovnost elementárních oblouků; (d) obecný vzorec pro zkroucení. θ [rad] zkroucení; rx [m] vzdálenost nominálního napětí od střednice (například v případě obdélníkového průřezu na Obrázku 23 je to t/2).
MEZE POUŽITÍ MATERIÁLŮ
strana 3.26
–     Úloha 4:     –
Ocelová dutá hřídel o délce 1,2 m je namáhána v ose krutem. Jak velký přenáší krouticí moment, když víme, že její zkroucení dosahuje 3°? Vnější průměr hřídele je 5 cm, vnitřní 3 cm. Materiálové konstanty odečtěte z Tabulky 29.
Řešení úlohy je uvedeno v Příloze 4.
Definice tuhosti součásti
Všimněte si, že vzorce pro nomninální deformace jsou přímo úměrné zatěžovací síle. Například při nominální deformaci v ohybu je nominální napětí v Integrálu 31d funkcí ohybového momentu M, který lze vypočítat jako součiny síly a vzdálenosti od souřadnice x, takže sílu lze vytknout před tento integrál jako konstantu zbylý tvar integrálu se nazývá tuhost součásti v ohybu. Takový přístup lze použít i pro ostatní druhy nominálních deformací, protože tyto vzorce jsou odvozeny podle Hookeova zákona pro lineární deformace. Odtud lze pro jednotlivé druhy nominálních deformací odvodit Vzorce 34. Tyto závisloti se využívají zejména při experimentálním určení deformace (tuhost součásti se vypočítá z deformace a zatěžující síly) a také při výpočtu harmonických kmitů součásti.
– 34: –
Definice tuhosti součásti
Definice tuhosti součásti (a) tuhost součásti v přímém směru (tah, ohyb, smyk); (b) tuhost součásti v krutu. F [N] zatěžující síla v daném směru; T [N·m] kroutící moment; k [N·m-1] tuhost součásti; kθ [N·m·rad-1] tuhost součásti v krutu.
Při kombinovaném namáhání nemusí být výsledná deformace prostým součtem jednotlivých nominálních deformací
Při kombinovaném namáháním nemusí být deformace pouze prostým součtem nominálních deformací. Je třeba pečlivě zvážit veškeré interference jednotlivých deformací. Například při kombinaci axiálního a ohybového zatížení prutu bude působit axiální sila na prohnutý nosník tak, že ho nejen bude prodlužovat, ale také "narovnávat", viz napnuté lano nebo teorie zakřivených nosníků apod [Budynas and Sadegh, 2020]. V mnoha případech stačí vyhodnocovat pouze napjatost v tělese a deformace se počítají u rozměrnějších částí, konstrukcí staveb apod.
Určení deformace tělesa alternativními postupy
Výpočet deformace případu, který není v literatuře popsán bývá docela náročný, proto se někdy nahrazuje modelem (konstrukčním i zátěžovým) u něhož lze očekávat, že výsledky budou dostatečně odpovídat případu, který potřebujeme řešit.
Existuje i tenzor deformace pro okolí bodu
Pro okolí jakéhokoliv bodu ve vyšetřovaném tělese lze také sestavit tenzor deformace podobný tenzoru napětí, ale v tomto případě pro vyhodnocení celkové deformace tělesa nemá význam a využívá se především v metodách MKP.
MEZE POUŽITÍ MATERIÁLŮ
strana 3.27
Lokální deformace lze určit ze součinitele koncentrace deformace
Lokální deformace souvisí s koncentrací napětí. Nachází se v blízkosti vrubů, konců trhlin a lokálních zatížení jako příklady lokálních deformací na Obrázku 35. Pro lokální deformaci lze zavést součinitel koncentrace deformace jako poměr mezi reálnou velikostí deformace a nominální (v daném okolí). Tento součinitel je v elastické lineární oblasti roven součiniteli koncentrace napětí, ale jeho užití v technické praxi je omezené vzhledem k tomu, že popisuje deformace pouze v okolí nějakého bodu – více v [Broek, 1989, s. 37], [Kunz, 2020, s. 42].
– 35: –
Příklady lokálních deformací těles
(a) styk válce s rovným povrchem; (b) zajištění hřídele perem; (c) závěs lopatky lopatkového stroje; (d) lokální plastické deformace při smykovém styku svou povrchů. PD-oblast plastických deformací. Fr [N] směr působení odstředivých sil na lopatku a její závěs.
Vznik lokálních plastizací a redistribuce napětí
Lokální deformace mají zásadní význam přesáhnou-li mez pružnosti, tak se tato část objemu tělesa deformuje významně více než okolní objem a tím může dojít k redistribuci napětí do jiných méně zatížených oblastí (například dále od vrubu, u kterého se napětí naopak sníží), v podstatě se napětí v řezu rozloží více rovnoměrně, tzv. redistribuce, viz [Broek, 1989, s. 35]. Lokální plastizace může mít i důsledky negativní, například může vznikat otlačení a tím i snížení spolehlivosti zejména tvarových spojů jako zajištění hřídele perem (Obrázek 35b) nebo lopatky lopatkového stroje pomocí závěsů (Obrázek 35c).
Redistrubuce napětí je funkcí součinitele velikosti
Díky redistribuci napětí se sníží nominální napětí v tělese podle součinitele velikosti νσ, který je funkcí velikosti tělesa, respektive řezu, viz grafy v [Němec et al. 1989, s. 448].
Rehabilitační test pro vytvoření trvalého předpětí
Plastizace se také využívá například při rehabilitačním testu potrubí. V tomto případě je využit průběh nominálních napětí (viz Obrázek 24) v potrubí k vytvoření předpětí, kdy je potrubí natlakováno takovým tlakem p2, aby došlo na vnitřním obvodu potrubí k plastickým deformacím, respektive k trvalému nárůstu obvodu na průměru d2. Po snížení tlaku p2 tedy vnější obvod potrubí vytvoří trvalé předpětí směrem k vnitřnímu obvodu. Tento způsob relaxace se například používá k uzavření trhlin v potrubí nacházející na vnitřním obvodu. Velký význam má plastizace u cyklického namáhání a zamezení šíření trhlin, viz následující kapitoly.
MEZE POUŽITÍ MATERIÁLŮ
strana 3.28
Deformační zpevnění díky vadám v materiálu
Pomocí plastických deformací kovových materiálů vytvořených kováním za studena lze materiály i zpevnit – tj. zvýšit jejich mez pevnosti. Deformačním zpevnění lze provést, jestliže krystalická struktura materiálu obsahuje vady (atomy příměsí, precipitáty a částice jiných fází), pak při deformacích dochází k energeticky náročným dislokacím v krystalických mřížkách a k jejich stabilizaci právě pomocí vad. Kolem takových dislokací vzniká napětí, které může způsobovat výrazné zvýšení meze pevnosti. Rekrystalizace materiálu lze provést pomocí žíhání.
Časově podmíněné deformace, zejména tečení (Creep)
Tahová zkouška popsaná na Obrázku 3 není funkcí času, tj. předpokládá se, že doba zatížení se nijak na prodloužení vzorku neprojeví. Tento předpoklad je správný u oceli při běžných teplotách, ale při teplotách cca nad 340 °C dochází již k měřitelnému soustavnému prodlužování vzorku i při konstantní síle působící na vzorek. Tento jev se nazývá tečením (creep). Tečení materiálu je tím významější, čím bliže je provozní teplota teplotě tavení. Obvykle je potřeba s creepem počítat při teplotách někde mezi 40 až 50 % teploty tavení daného materiálu, kdy při stabilním zatížení dosahuje poměrné prodloužení v řádu procent během řádu let, například olova se projevuje významně tečení již při běžných teplotách, protože jeho teplota tavení je 327,5 °C. V extrémním případě neřešení creepu může dojít až k tzv. creepovému lomu. Významnou výjimkou je keramika, u které se tečení projevuje až při teplotě tavení.
Příklad tečení u lopatek tepelných turbín
Příkladem tečení jsou lopatky tepelných turbín. Jejich délku je nutné po určité době, nebo překročení nějaké teploty, zkontrolovat a nad limity prodloužené lopatky vyřadit. Kombinací keramické matrice a kovu pak vznikne tzv. (CMC ceramic matrix composite (CMC), který je pevný a zároveň odolnější proti creepu.
Definice zkoušky meze pevnosti při tečení
Tahové zkoušky mají předepsanou nějakou rychlost deformace s rychlostí zvyšování napětí [Němec et al., 1989, s. 28]. Jestliže tyto parametry již nelze dodržet je nutné provést zkoušku meze pevnosti při tečení, při které se zjišťuje doba porušení vzorku při určitém napětí.
Definice zkoušky meze tečení
Dále se doplňuje zkouškou při nichž se měří mez tečení, což je napětí, které za určitou dobu a určité teplotě způsobí zadané prodloužení.
MEZE POUŽITÍ MATERIÁLŮ
strana 3.29
Definice zkoušky relaxace
Posledním typem zkoušky zohledňující tečení je zkouška zvaná relaxace. Při relaxační zkoušce je vzorek nejprve prodloužen na určitou hodnotu a zaznamenáno napětí nutné k jeho prodloužení. Následuje časová prodleva, kdy je vzorek ponechán na počátečním prodloužení a na konci této prodlevy je změřeno zbylé napětí ve vzorku – takové výsledky jsou uplatnitelné při vyhodnocování trvanlivosti utažení šroubových spojů za vysokých teplot.
Stárnutí materiálu
Obecně platí, že po opakovaných zatížení s časovými prodlevam i bez nich (případně i se změnami teplot) se průběh pracovního diagramu mění (viz [Němec et al. 1989, s. 28]). Vliv času na pracovní diagram se nazývá stárnutí. I když například u ocelí se lze vrátit k původním hodnotám po nějaké době, kdy materiál nebude zatěžován nebo jinými způsoby regenerován.
Definice teplotní roztažnosti
Teplotní roztažnost je změna rozměrů tělesa a jeho objemu při změně teploty. Obvykle se rozměry i objem pevných těles s rostoucí teplotou zvětšují, ale existují i anomální materiály, které reagují na změnu teplotou v určitém rozsahu teplot obráceně. Těchto anomálních materiálů není moc, přičemž nejvýznamnější anomální chování je u vody, respektive ledu od 0 do 3,98 °C. Teplotní roztažnost materiálu je způsobena rovnovážným stavem mezi molekulami v krystalické mřížce, kdy pro každou teplotou odpovídá jiná rovnovážná vzdálenost, případně u anomálních materiálů i tvar krystalické mřížky.
Definice součinitele teplotní objemové roztažnosti
Na Obrázku 36a je znázorněna křivka změny objemu pevného tělesa na teplotě oproti jeho objemu při 0 °C–přibližně se jedná o exponenciální křivku. Tato křivka závisí na materiálu měřeného tělesa. Rovnice 36c definuje materiálovou konstantu β označovanou součinitelem teplotní objemové roztažnosti jako podíl změny objemu dV v závislosti na změně teploty dt a objemu tělesa při teplotě 0 °C. Součinitel teplotní objemové roztažnosti β je pro pevná tělesa funkcí teploty a jeho hodnoty jsou získávány z měření a tabelovány.
– 36: –
Změna objemu a délky tělesa při změně teploty
l [m] délka tělesa; l0 [m] délka tělesa při teplotě 0 °C; t [°C] teplota; V [m3] objem tělesa; V0 [m3] objem tělesa při teplotě 0 °C; α [K-1] součinitel teplotní délkové roztažnosti materiálu; β [K-1] [K-2] součinitel teplotní objemové roztažnosti materiálu. Odvození rovnice například v [Horák and Krupka, 1976, s. 324].
MEZE POUŽITÍ MATERIÁLŮ
strana 3.30
Definice součinitele teplotní délkové roztažnosti
Podobným způsobem lze definovat i materiálovou konstantu α pro teplotní délkovou roztažnost označovanou jako součinitel teplotní délkové roztažnosti, viz Rovnice 36d. Součinitel teplotní délkové roztažnosti je pro izotropní látky stejný pro jakýkoliv délkový rozměr tělesa, viz Obrázek 36b). Lze dokázat, například podle [Horák and Krupka, 1976, s. 326], že u izotropní látky platí přibližně lineární vztah (Rovnice 36e) mezi součinitelem teplotní délkové roztažnosti α a součinitelem objemové roztažnosti β. To je také důvod proč jsou v tabulkách materiálů často zobrazeny pouze hodnoty součinitele délkové roztažnosti.
Střední hodnota součinitele teplotní délkové roztažnosti jako prakticky použitelná veličina pro výpočet tepelné roztažnosti
Rovnice 36(c-d) mají tu nevýhodu, že jsou diferenciální a tudíž k přesným výpočtům je nutné použít specializovaného softwaru obsahující data z velkého množství měření, respektive funkce závislosti teplotních součinitelů na teplotě z těchto měření vytvořených. Pro běžnou technickou praxi ovšem stačí vycházet z diferenčních tvarů Rovnic 36(c-d), viz Rovnice 37. V těchto případech je rozdíl teplot Δt ve jmenovateli vždy odpovídá rozdílu mezi vyšetřovanou teplotou a teplot t0 a rozdíl délek Δl, respektive objemů ΔV je porovnáván se stavem l0, respektive V0. To znamená, že levá strana těchto diferenčních rovnic musí být rovna středním hodnotám součinitelů α¯, β¯ na vyšetřovaných intervalů teplot, viz Rovnice 37c. Běžné technické tabulky pak obsahují právě střední hodnoty součinitelů teplotní roztažnosti definované Rovnicemi 37 a nikoliv lokální hodnoty definované Rovnicemi 37, viz Tabulka 38. Pro výpočet nové délky tělesa po změně teploty je tedy nutné znát jeho rozměry při teplotě t0, které lze vypočítat inverzním postupem, viz Úloha 5 a Úloha 7.
– 37: –
Praktické vztahy pro výpočet teplotní roztažnosti
Δl [m] změna délky; Δt [m] změna teploty; ΔV [m3] změna objemu; α¯ [K-1] střední hodnota součinitele teplotní roztažnosti na teplotním intervalu Δt. Odvození rovnice pro α¯ je provedeno v Příloze 9.
– 38: –
t α¯ t α¯ t α¯ t α¯
-253 14,7 50 23,4 300 25,5 600 28,3
-190 18,1 100 23,8 400 26,5
-100 22 200 24,5 500 27,4
Střední hodnoty součinitele délkové teplotní roztažnosti hliníku. t [°C]; α¯ [K-1·106]. Zdroj dat [Ražnjević, 1984].
Vznik napětí od teplotní roztažnosti
V důsledku teplotní roztažnosti může v materiálu vzniknout vnitřní napětí, a to v případě, když se teplota materiálu mění, ale vnější dispozice v okolí součásti nedovolí tomuto materiálu změnit rozměry, viz Úloha 6.
MEZE POUŽITÍ MATERIÁLŮ
strana 3.31
–     Úloha 5:     –
Na obrázku je hliníkový prstenec s uvedením rozměrů, tyto rozměry jsou při teplotě 60 °C. Vypočítejte rozměry (střední průměr a obvod na středním průměru) tohoto prstence, jestliže ho zahřejeme na 200 °C.
Řešení úlohy je uvedeno v Příloze 5.
Délka tělesa jako funkce teploty
[mm]
–     Úloha 6:     –
Hliníkový kroužek z Úlohy 5 byl po ohřátí na 200 °C nasunut na studený ocelový čep o teplotě 0 °C a průměru, který odpovídá přesně vnitřnímu průměru kroužku při teplotě 200 °C, takže kroužek lze nasunout na čep bez užití síly. Jak velké tahové napětí lze v kroužku očekávat, jestliže celou sestavu ochladíme na 0 °C? Uvažujte pouze napětí v tahu rovnoměrně rozložené po celém průřezu kroužku (viz obrázek) a deformace pouze do meze úměrnosti. Neuvažujte vliv zmenšení tloušťky kroužku. Modul pružnosti v tahu hliníku je 7,18·1010 Pa·m-1.
Řešení úlohy je uvedeno v Příloze 6.
Délka tělesa jako funkce teploty
Po ochlazení hliníkového kroužku RAL lze očekávat vznik tahové napětí σ jako důsledek jeho teplotní roztažnosti. RAL-hliníkový kroužek (ring); Psteal-ocelový čep (pivot).
–     Úloha 7:     –
Na obrázku je ocelová hřídel parní turbíny a její rozložení provozní teploty v ose. Spočítejte přibližnou délku hřídele při provozu oproti stavu za klidu (montáže). Délka hřídele při montážní teplotě, která je 20 °C, jsou 4 m.
Řešení úlohy je uvedeno v Příloze 7.
MEZE POUŽITÍ MATERIÁLŮ
strana 3.32
Hřídel parní turbíny
t [°C]; x [m]

Mezní stav únavy

K porušení materiálu nebo plastické deformaci může dojít i při běžné teplotě a nízkém napětí, pokud se jedná o napětí z cyklického namáhání (tj. nemám na mysli rázové zatížení ve formě prudkého výkmitu a postupného dozvuku), takovou poruchu označujeme jako únava materiálu. Budeme-li ocelovou tyč z tahové zkoušky na Obrázku 3 cyklicky natahovat a stlačovat, tak při určitých amplitudách napětí tato tyč vydrží určitý počet cyklů než se začne deformovat nebo se v ní začnou šířit trhliny. Vyšetření vlivu cyklického zatěžování, neboli dynamického, na funkci součásti je významnou úlohou v technice, protože nějakým druhem cyklického zatížení jsou vystaveny všechny strojní součásti. Například šrouby tlakové nádoby jsou po utažení namáhány předpětím, které se změní po natlakování nádoby, či naopak po odtlakování; mostní konstrukce se zatěžuje cyklicky, tak jak přes něj přejíždějí vozidla atd.

Faktory ovlivňující únavu materiálu
Při cyklickém poškození materiálu má vliv rychlost zatěžování, množství tepla uvolňovaného v deformacích, vady v materiálu a trhliny.
Materiály s a bez mezi únavy při střídavém namáhání
U materiálů s výraznou mezi úměrnosti (například ocel) lze určit takové amplitudy střídavého napětí (Obrázek 39c), při kterém k únavě nedojde, toto napětí nazýváme mezí únavy σC, Obrázek 39a. Nicméně existují materiály, které tuto mez nemají a vždy pro jakoukoliv amplitudu napětí existuje počet cyklů do porušení, protože po každém cyklu zcela nezmizí vzniklé deformace, viz Obrázek 39b. Závislost amplitudy napětí na počtu cyklů se nazývá Wöhlerova křivka. Wöhlerova křivky se obvykle konstruují na základě únavové zkoušky ohybu za rotace.
MEZE POUŽITÍ MATERIÁLŮ
strana 3.33
– 39: –
Wöhlerova křivka
Wöhlerovy křivky: (a)-Wöhlerova křivka oceli; (b)-Wöhlerova křivka mědi; (c)-definice střídavého napětí. N [-] počet cyklů do porušení; σa [Pa] amplituda napětí; σC [Pa] mez únavy – amplituda střídavého napětí, při kterém součást snese neomezený počet cyklů bez poškození; σm [Pa] střední hodnota napětí za jeden cyklus. Obrázek v měřítku v [Ptáček et al., s. 467].
Smyčkové diagramy materiálů pro míjivé namáhání
V případě, že součást je namáhána nesouměrným střídavým (míjivým) napětím, tj. střední napětí je různé od nuly (σm≠0), viz Obrázek 40a, pak se místo Wöhlerovy únavové křivky pro určení meze únavy σC používá smyčkový diagram, což je závislost horního napětí σh na hodnotě středního napětí σm, při kterém materiál vydrží nekonečný počet nesouměrným střídavých cyklů. Z obrázku je zřejmé, že s rostoucím středním napětí hodnota bezpečné amplitudy napětí klesá až k nule v oblasti meze pevnosti σP. Všimněte si, že po překročení meze kluzu σK se sice materiál trvale deformuje, ale ještě stále vydrží určitou amplitudu napětí a nichž by prasknul. Nicméně se zvyšujícím se středním napětí tato amplituda klesá. Dalším významným napětím je σHC (mez únavy míjívého cyklu), což je napětí, při kterém je horní napětí dvojnásobkem středního napětí nebo-li dolní napětí je rovno nule, které může být větší než mez kluzu σK z tahové zkoušky. Nesouměrné střídavé napětí kdy σd=0 se nazývá míjivé napětí.
– 40: –
Smyčkový diagram nesouměrného střídavého namáhání
σd [Pa] dolní napětí cyklu; σh [Pa] horní napětí cyklu; σHC [Pa] mez únavy míjivého cyklu. Obrázek v měřítku pro ocel v [Němec et al., 1989, s. 487].
MEZE POUŽITÍ MATERIÁLŮ
strana 3.34
Omezení horního napětí cyklu na hodnotu dovoleného napětí
Údaje o mezi únavy σC a horní napětí cyklu σh ve smyčkovém diagramu jsou získávány na téměř dokonalých vzorcích bez vnitřních defektů a s hladkým broušeným povrchem. Reálná součást bude mít křivku σ'h, pro nekonečný počet cyklů pod křivkou σh. Obvykle nechceme provozovat součást nad mezí kluzu σK, kdy již dochází k trvalým deformacím součásti, proto v reálné součásti nesmí horní napětí cyklu σh překročit napětí dovolené, které musí zahrnovat jak součinitel bezpečnosti (pro cyklovou únavu v rozmezí 1,2 až 1,5 [Němec et al. 1989, s. 496]), tak případné kladný vliv deformačního zpevnění. Tato podmínka snižuje rozsah horních napětí cyklu součásti o plochu-(A) na Obrázku 41.
Snížení meze únavy o bezpečnost a koncetraci napětí
Reálná součást bude mít i nižší hodnotu meze únavy σ'C, respektive lze očekávat σ'CσC. Při výpočtu σ'C ze σC se zohledňuje vliv kvality povrchu reálné součásti, odchylky od tvaru amplitudy zatěžování reálné součásti od zkušební amplitudy, vliv teploty a vliv vrubů, respektive koncentrací napětí (viz vzorec v [Němec et al., 1989, s. 488]).
Vytvoření Smithova diagramu pro cyklickou únavu reálných součástí
Dále se používá zjednodušující předpoklad, že úsek mezi mezí únavy σC a mezí únavy míjivého cyklu σHC je přibližně přímkový – zejména u houževnatějších ocelí o nižší a střední pevnosti platí ze zkoušek hladkých broušených tyčí přibližná rovnost σHC≈2σC (to znamená, že v tomto případě bude přímka mezi σC a σHC pod úhlem 45°). Takže oblast horního napětí je nutné ještě omezit o plochu-(B) na Obrázku 41. Výsledná smyčkový diagram pro reálnou součást se označuje jako Smithův diagram.
– 41: –
Smithův diagram
Smithův diagram: σ'h [MPa] horní napětí cyklu pro reálnou součást; σ'C [Pa] mez únavy reálné součásti.
Smithův diagram pro míjívý střídavý krut
Smithův diagram lze zkonstruovat i pro jiný druh cyklického zatěžování než je tah-tlak, příklad krut apod., viz postupy v [Němec et al., 1989, s. 484].
MEZE POUŽITÍ MATERIÁLŮ
strana 3.35
Diagramy pro nízkocyklovou únavu
Vedle úloh na stanovení meze únavy, kdy součást vydrží nekonečný počet cyklů (vysokocyklová únava) jsou úlohy na nízkocyklovou únavu, kdy stačí aby součást vydržela konečný počet cyklů, ale z vyššího napětí (tzv. nízkocyklová únava). To jsou například tlakové nádoby, u kterých víme kolikrát za jejich životnost budou natlakovány a vyprázdněny atd. V těchto případech také vycházíme ze smyčkového diagramu, ale pro konkrétní počet cyklů, viz [Němec et al.,1989, s. 487].

Mezní stav šíření trhlin

V tělese se může z nějakého důvodu vyskytnout trhlina a to buď únavovým mechanismem a nebo může vzniknout již při výrobě součásti. V místě trhliny hrozí dále buď křehký lom (náhlý lom), únavový (houževnatý) lom a nebo může dojít ke koroznímu popraskání – tj. šíření trhliny je podněcováno i chemickými procesy (v tomto článku není dále popisováno). Vyhodnocení stavu existující trhliny a její další vývoj je velmi odborná záležitost a u konstrukcí drahých a ohrožující bezpečnost je vždy spojena i s trvalým monitorování existujících trhlin i monitorování vzniku nových. Nicméně trhlinu lze i sanovat.

Součinitel intenzity napětí nesmí být vyšší než lomová houževnatost materiálu, jinak hrozí křehký lom
Na čele trhliny vzniká koncentrace napětí v případě nízkých teplot a rychlého nárůstu napětí může nastat situace, že se napětí nebude schopné přes deformace v okolí čela trhliny přenést na zbytek neporušeného průřezu a nebo průřez sám o sobě nebude schopen toto zatížení přenést. V Takovém případě dochází k lavinovitému šíření trhliny až do úplného lomu součásti – křehký lom. Mluvíme o tom, že trhlina ztratila stabilitu. To, jestli k takové události může dojít vyhodnocujeme pomocí součinitele intenzity napětí K v okolí trhliny. Pokud vypočítaná hodnota součinitele intenzity napětí dosáhne hodnoty tzv. lomové houževnatosti materiálu Kc, pak nastane křehký lom.
Módy namáhání těles s trhlinou
Při hledání nejvhodnějšího vzorce pro výpočet součinitele intenzity napětí K rozhoduje nejen tvar součásti a trhliny, ale také způsob namáhání v okolí trhliny. Rozlišují se přitom pouze tři způsoby zvané módy namáhání, viz Obrázek 42. Jestliže je trhlina namáhána více jak jedním módem, pak se hodnoty součinitelů intenzity napětí pro jednotlivé módy sčítají do výsledné hodnoty součinitele intenzity napětí (princip superpozice). Přičemž hodnota součinitele intenzity napětí od módu I se označuje jako KI, od módu II KII a od módu III KIII. Z obrázku je také patrné, že směry namáhání, které trhlinu zavírají nejsou do módu zahrnuty.
MEZE POUŽITÍ MATERIÁLŮ
strana 3.36
– 42: –
Módy namáhání tělesa s trhlinou
I-tahový mód; II-rovinný smykový mód; III-antirovinný smykový mód.
Vzorce součinitele intenzity napětí jsou funkcí tvarových funkcí
Vzorce pro součinitele intenzity napětí v jednotlivých módech obvykle odpovídají Vzorcům 43a (tyto vzorce jsou odvozeny například v [Kunz, 2020, s. 78]). Přičemž funkce fI, fII a fIII závisí na tvaru a velikosti součástí a trhliny. Katalog vzorců pro určení těchto funkcí je uveden například v [Murakami, 1987], v češtině [Kunz, 2020]. Na Obrázku 43b jsou uvedeny vzorce pro konkrétní případ dvou symetrických trhlin šířící se kruhového otvoru.
– 43: –
Součinitel intenzity napětí
(a) obecné vzorce; (b) příklad tvarové funkce pro trhlinu šířící se z kruhového otvoru nýtu v desce, kdy nýt přenáší sílu F (platí pro případ d/(2W)<<1). KI, KII, KIII [Pa·m1/2] součinitele intenzity napětí pro jednotlivé módy namáhání; a [m] délka trhliny; fI, fII, fIII [1] tvarové funkce (geometrty factors) závislé na na tvaru a velikosti tělesa a trhliny (pro případ nekonečně rozměrného tělesa jsou tyto funkce rovny 1); W [m] šířka (v tomto případě nezávisí tvarové funkce na délce ani tloušťce vyšetřovaného tělesa). Napětí v tahu σ a ve smyku τ se počítá k průřezu součásti bez trhliny.
Lomová houževnatost je závislá na teplotě
Lomová houževnatost Kc je materiálová veličina, která vyjadřuje míru citlivosti napětí materiálu na šíření trhliny. Obvykle ji nelze odečíst z prosté tahové zkoušky a určuje se pomocí zkoušky (odpovídající módu zatěžování). Lomová houževnatost je funkcí teploty, přičemž teplota Tu, při které lomová houževnatost daného materiálu dosahuje maxim se označuje jako "upper shelf temperature", viz Tabulka 44. V materiálových listech je také uvedena i orientace a umístění vzorku odebraného z válcovaného polotovaru pro tuto zkoušku. Lomovou houževnatost lze také, za určitých podmínek, stanovit i pomocí tzv. J-integrálu [Kunz, 2020].
MEZE POUŽITÍ MATERIÁLŮ
strana 3.37
– 44: –
  Tu   Kc   Tu   Kc
ocel ČSN 15 313   300   80 AISI 403 modified 12 Cr stainless rotor steel   24   165
ASTM A471 NiCrMoV rotor steel   93   220 ASTM A217 2 1/4 Cr-1MoV cast steel   -46   200
ASTM A470 CrMoV rotor steel   149   120 reactor steel A533B   80   355
Tu [°C] upper shelf temperature; Kc [MPa·m1/2]. Data převzata z [Kunz, 2020, s. 99].
Únavový lom se šíří každým cyklem pozorovatelnou rychlostí
Jestliže vyšetření trhliny na křehký lom, uvedené v předchozích odstavcích, ukazuje, že délka trhliny není kritická, pak je zájem vyšetřit rychlost šíření této trhliny, pakliže je součást namáhána cyklicky. Existují teorie pomocí, kterých lze stanovit predikce rychlosti šíření trhlin až do lomu.
Rozkmit součinitele intenzity napětí pro výpočet rychlosti šíření trhliny
Rozhodující při výpočtu je rozkmit součinitele intenzity napětí ΔK. ΔK lze vypočítat jako rozdíl součinitele intenzity napětí při horním napětí cyklu σh a dolním napětí cyklu σd. Dále do výpočtu vstupuje tzv. kritická hodnota rozkmitu intenzity napětí označována ΔKc, při které nedochází k šíření trhliny. ΔKc je materiálová veličina, která je měřena a může i nemusí být rovna hodnotě Kc, respektive jejich poměr může být menší i větší než 1. Jestliže platí nerovnost ΔKKc, pak lze očekávat šíření trhliny určitou rychlostí v metrech za cyklus a označovanou písmenem ν=da/dN. Metody výpočtu rychlosti šíření únavových trhlin jsou shrnuty například v [Kunz, 2020].
Odhad počtu cyklů do lomu z počtu cyklů objevení trhliny
Velmi zjednodušeně a spíše orientačně lze při určování počtu zbývajících počtu cyklů do lomu vycházet ze zkoušek šíření únavového lomu při stálém střídavém zatížení, viz Obrázek 45c. Na tomto obrázku je záznam únavové zkoušky v tahu při střídavém namáhání, kde jsou zakreslovány isopléty délky trhlin. Důležité křivky na tomto obrázku jsou křivka zjistitelných trhlinek a0 a křivka kritické délky trhliny ac, kdy dojde k lomu součásti. Všimněte si, že rozdíl mezi těmito křivkami je přibližně jeden řád. To znamená, že k lomu součásti došlo až cca po destinásobku cyklů odpovídajících cyklů do první zjistitelné trhlinky. To odpovídá obvyklé zkušenosti, že doba za kterou se objeví první trhlinky je výrazně kratší než doba mezi zjištěním prvních trhlinek a únavovým lomem. Přičemž křivka a0 je důležitá tím, že existují metody jejího výpočtu [Němec et al., 1989, s. 504], takže životnost takto spočítané součásti bude s dostatečnou rezervou.
MEZE POUŽITÍ MATERIÁLŮ
strana 3.38
– 45: –
Charakteristické znaky únavových lomů
(a) závislost inciace vzniku trhliny a její délky na počtu cyklů a jmenovitého napětí (data z [Němec et al., 1989, s. 505]); (b) lomová plocha při opakovaném ohybu (bez vrubového účinku); (c) lomová plocha při opakovaném ohybu (s vrubovým účinkem – po obvodu tyče je vrub); . Rozměry jsou v mm. σ [MPa]; N [-].
Charakteristické znaky únavových lomů
Na Obrázku 45a je charakteristická plocha únavového lomu (opakovaný ohyb). Na této ploše lze rozeznat obvykle iniciaci trhliny, striace (rýhy na čele trhliny vytvořené plastickými deformacemi) a dolom (obvykle křehký lom).
Důvody monitorování trhlin
Většina klíčových součástí jejíchž destrukce by mohly vést k nehodám s velkými obětmi na životech či s velkými hospodářskými či ekologickými negativními dopady je monitorována. Monitoring je buď stálý nebo přetržitý (například pravidelná defektoskopie kol vlaků, rotorů leteckých turbín i kontrola draku letounu každé dva roky, kdy se kompletně vnitřní trup odkryje apod.). Po objevu trhliny je součást buď vyřazena, nebo sledována.
Metody monitorování trhlin
Šíření trhlin je sledováno nedestruktivními metodami, kterých existuje velké množství a metodu je nutné zvážit podle situace. Existují vizuální metody – barviva, která označí trhlinu na základě kapilárních sil. Součásti lze prozařovat fotonovým zářením. Trhliny lze hledat i ultrazvukem případně odposlechem – při šířením trhlin vzniká zvuk. Existují i metody založené na drobných dilatacích v okolí trhlin. Všechny metody lze vyhodnotit pomocí softwarových nástrojů, nicméně ke konečnému vyhodnocení stavu šíření trhliny je vždy nutné pozvat odborníky, který vyhodnotí i působení okolí (koroze, změna teploty...) na šíření trhliny.
MEZE POUŽITÍ MATERIÁLŮ
strana 3.39
Způsoby sanací trhlin a snižování ryzika vzniku trhlin
Pokud to jde, tak se trhliny sanují, přičemž nejčastěji to lze dvěma způsoby. Trhliny jdou vybrousit do tvaru dobře definovaného vrbu, následně lze napjatost v okolí vrubu vyhodnotit již známým způsobem popsaným v podkapitole Koncentrace napětí. Také je možné pouze na čelech trhlin vyvrtat kruhové otvory a vyhodnotit napětí kolem nich opět pomocí teorie koncentrace napětí. Tento způsob sanace je ale obvykle spojen s podstatným snížením nosnosti konstrukce. Druhý způsob spočívá ve vyvaření trhliny, kdy se trhlina nejprve vybrousí a úbytek materiálu nahradí svarem. V tomto případě hrozí vznik pnutí v okolí svaru, ale za určitých okolností může zůstat zachována nosnost konstrukce.

Mezní stav opotřebení

Odhad opotřebení, respektive životnosti součástí dělá snad každý investor zvlášť u energetického zařízení s vysokou pořizovací hodnotou. Opotřebení lze kompenzovat opravami a zvláště u velkých trvale pracujících energetických zařízení je schopnost predikovat periody oprav vysoce ceněná, zvláště v případech, kde opotřebení nelze zabránit. Důvody opotřebení součásti mohou být různé, nejčastěji se bavíme o změnách vlastností materiálu (stárnutí materiálu), ze které je součástka postavená nebo se bavíme o opotřebení z pohledu úbytku materiálu (ještě lze rozlišit tzv. morální opotřebení, které je dáno vývojem v daném oboru). V této kapitole budu popisovat opotřebení způsobené třením neboli otěrem. Z pohledu opotřbení jsou zde definovýny veličiny intenzita a stupeň opotřebení a speciálně je zde pojednáno o trvanlivosti valivého ložiska.

MEZE POUŽITÍ MATERIÁLŮ
strana 3.40
Otěr zahrnuje širokou škálů mechanismů, při kterém se uvolňují částečky materiálu v důsledku okolních pohybů
Při tření a to i tekutinovém dochází k postupnému změnám stykového povrchu tzv. opotřebení povrchu. To má několik závažných důsledků na další chod stroje, který se zhoršuje v důsledku vzrůstající vůlí, respektive netěsností např. pístních kroužků, poškození další částí stroje abrazivními částicemi, které při tření vznikly a pod. K opotřebení povrchů může dojít vlivem působení mezimolekulových sil na protějších površích (tzv. adheze); oddělením částeček materiálu stykových ploch jejich fyzickým dotekem (tzv. abraze); fyzickým dotekem stykových povrchů s pevnými částicemi proudící v okolní kapalině či mazivu (tzv. eroze); chemickým působením okolního prostředí na stykové plochy (tzv. chemická koroze); prudkou změnou tlaků a teplot tekutin u povrchů součástí (tzv. kavitace, nebo její opak impakt v podobě vysokorychlostního dopadu kapky na povrch); při porušení podpovrchové prostoru únavou materiálu způsobené jeho zatěžováním (tzv. únavové opotřebení) a nakonec přímé poškození povrchové vrstvy materiálu drobnými oscilacemi a posuvy při zatížení (tzv. vibrační opotřebení).
Shrnutí obecných zásad pro snížení opotřebení otěrem
Otěr obvykle vzrůstá s množství oddělených částeček mezi stykovými plochami, takže produkty otěru je nutné odstraňovat z oblasti stykových ploch, například filtrací oleje. Základním předpokladem snížení ztrát třením a opotřebení je snižovat sílu a pokud možno realizovat valivé nebo tekutinové tření, protože při těchto tření dochází prokazatelně k nejmenšímu opotřebení a nejnižší třecí výkon. Valivé tření je někdy doplňováno kapalným pro rovnoměrnější rozložení stykových tlaků. Valivé tření má navíc tu výhodu, že nezávisí tolik na rychlosti pohybu jako kluzný tekutinový styk. Ale i přesto při tekutinovém tření dosahujeme nejvyšších životností součásti. Předpokladem je, ale vhodná konstrukce, vhodné mazivo a relativně malé rychlosti pohybu. Při nutnosti vyšších rychlostí je vhodnější použít valivé uložení. Více například v [Šafr, 1970].
MEZE POUŽITÍ MATERIÁLŮ
strana 3.41
Predikce opotřebení pomocí intenzity a stupně opotřebení
Predikce opotřebení, respektive otěru součásti lze provést pomocí veličiny zvané intenzita opotřebení nebo v případě plastů stupeň opotřebení, viz Vzorec 46. K výpočtu veličiny intenzity opotřebení lze použít výpočetní postupy založené na molekulárně mechanické teorii nebo energetické metody. Molekulárně mechanických teorií je několik a jsou popsány např. v [Brendel et. al., 1984, s 159], [Boháček and Dvořák, 1996, s. 68] ve stejné literatuře je uvedena i energetická metoda. Výpočetní postupy jsou velmi citlivé na přesnost vstupních dat jinak jsou jejich výsledky daleko od skutečnosti. Tedy pokud konstruktér není schopen predikovat například přesně síly působící na součást, bude výsledek opotřebení velmi nejistý. Veličina rychlost opotřebení Δh je empirická či poloempirická a lze ji vyčíst z materiálových listů.
– 46: –
Možnosti výpočtu opotřebení součásti
(a) výpočet opotřebení pomocí intenzity opotřebení; (b) výpočet opotřebení pomocí stupně opotřebení. ΔV [m3] úbytek materiálu při opotřebení; Ih [1] intenzita opotřebení; A [m2] dotyková plocha (ta, která je stále ve styku); l [m] kluzná dráha; Δh [m·s-1] nebo [cm·h-1] rychlost opotřebení stykové plochy (hloubka opotřebení); Is [Pa-1] nebo [cm3·min· kg-1·m-1·h-1] stupeň opotřebení; p [Pa] nebo [kg cm-2] styčný tlak; U [m·s-1] nebo [m·min-1] kluzná rychlost.
Křivka opotřebení
Čistě opotřebení součásti není po celou dobu životnosti stejné, ale jeho intenzita se mění tak, jak se postupně mění drsnost stykových ploch. Grafické vyjádření závislosti opotřebení na celkové kluzné dráze životnosti součásti se nazývá křivka opotřebení, na které jsou výrazné tři oblasti jak ukazuje Obrázek 47. Jak je patrné, při prvním spuštění je intenzita opotřebení součásti největší, ale postupně se snižující, než dojde k vymezení vůlí a drsnosti povrchu. Potom nastává oblast nejmenší intenzity opotřebení až do jisté meze, kdy vůle jsou už tak velké, že provoz součásti vykazuje vysokou intenzitu opotřebení a třecí výkon. Poslední stav se vyznačuje změnou zvuku chodu, vibracemi a zahříváním součásti případně vysokou spotřebou maziv apod.
– 47: –
Křivka opotřebení
I-záběh; II-provoz; III-havarijní stav; Z-zadření (součást není schopna provozu). l [m] celková (kluzná) dráha pohybu.
MEZE POUŽITÍ MATERIÁLŮ
strana 3.42
Výpočet trvanlivosti a životnosti valivého ložiska
Trvanlivost val. ložiska (Vzorec 48) je buď dána počtem otáček L [-] do únavy materiálu ložiska (odlupování povrchu), nebo dobou při jmenovitých otáčkách do únavy materiálu ložiska L [h]. Dále definujeme ještě životnost ložiska τ [h] je skutečná doba, po kterou je ložisko v provozu do vyřazení pro ztrátu vlastností i z jiných důvodů než únavy materiálu, například nesplněním podmínek provozu předepsaných výrobcem, znečištění oleje a další nepříznivé provozní vlivy tzv. přídavné dynamické síly. Životnost ložiska se už vypočítat přesně nedá a obvykle se stanovuje z podobných případů použití ložisek a zkušeností (viz tabulka v [Fröhlich, 1978, s. 16]) nebo pomocí statistických metod zahrnující i provozní vlivy [Shigley et al., 2004, s. 630]. Životnost ložiska je menší než trvanlivost ložiska τ<L.
– 48: –
Vzorec trvanlivosti valivého ložiska
L [ot] základní trvanlivost-množství otáček, které ložisko vydrží za ideálních podmínek; C [N] základní dynamická únosnost ložiska (neproměnné zatížení ložiska, při kterém bude mít ložisko trvanlivost přesně milión otáček, je funkcí provozní teploty); P [N] ekvivalentní síla působící na ložisko v hlavním směru, viz níže; p [-] mocnitel typu ložiska (p=3 pro kuličková ložiska, p=10/3 pro válečková, jehlová soudečková a kuželíková.
Výpočet středního zatížení ložiska
Ekvivalentní síla působící na ložisko P je prostá výslednice stálých sil působících v daném směru. Pakliže jsou síly působící na ložisko v průběhu otáčení ložiska proměnná, pak lze při stanovení ekvivalentní síly P s dostatečnou rezervou vycházet z maxim zatížení v jednotlivých směrech (Fr,max, Fa,max [N]) a ekvivalentní dynamické zatížení vypočítat jako v případě síly stálé. Problém je v tom, že trvanlivost ložiska vyjde nízká, takže ve výsledku to povede na zbytečně předimenzované ložisko. Přesnější výpočet trvanlivosti ložiska zatíženého proměnlivou silou lze provést dosazením střední hodnoty zatížení ložiska Fs, viz Rovnice 49. Síla Fs je taková ekvivalentní síla, která bude způsobovat stejnou rychlost opotřebení jako proměnlivá síla, kdy opotřebení bude nejrychlejší při síle Fmax a nejpomalejší při síle Fmin, přičemž záleží po jakou část otáčky tyto síly působí a maximální síla F(φ)max nesmí překročit maximální hodnotu dynamického zatížení ložiska označovanou symbolem Pu.
MEZE POUŽITÍ MATERIÁLŮ
strana 3.43
– 49: –
Střední zatížení ložiska
Fs [N] střední zatížení ložiska (řešení integrálu pro Fs frekventovaných druhů proměnných zatížení je uvedeno v [Fröhlich, 1978, s. 19-20] (např. pro sinusový průběh Fs≈0,75 Fmax).); F(φ) [N] průběh zatěžující síly ložiska jako funkce pootočení hřídele; φ [°] úhel pootočení hřídele. Odvození rovnice pro střední zatížení ložiska je uvedeno v Příloze 10.
Výpočet trvanlivosti valivého ložiska při kyvném pohybu
Dalším speciálním typem zatížení je stálé zatížení ložiska silou Fs při kyvném pohybu, například ojnice pístu s valivým ložiskem. Protože při kyvném zatížením během jednoho cyklu nevykoná ložisko takový pohyb jako při plném otočení o 2π, ale pouze o úhel 2γ, bude skutečná trvanlivost ložiska o příslušný podíl větší, jak je zobrazeno na Obrázku 50.
– 50: –
Výpočet trvanlivosti valivého ložiska při kyvném pohybu
γ [°] amplituda kyvného pohybu.
Speciální případy zatížení valivých ložidek
Existují i případy, kdy ložisko není zatěžováno dynamicky, ale pouze staticky (neotáčí se), například ložisko kompenzuje pouze krut apod, pak je hlavním údajem trvalá deformace ložiska nikoliv jeho trvanlivost. Dalšími speciální případy jako zatěžování ložisek ozubených soukolí a řemenových pohonů je popsáno v [Fröhlich, 1978, s. 20-21].
Monitorování stavu ložiska
Především u velkých soustrojí jako jsou například větrné turbíny se stav ložiska sleduje průběžně pomocí několika senzorů viz Obrázek 845, s. 25. Na základě tohoto měření a výsledků z měření etalonových ložisek v laboratoři a příslušného softwaru jsou výrobci schopni v reálném čase informovat o případných problémech v těchto uzlech a navrhnout změnu provozu tak, aby se nebezpečí snížení trvanlivosti ložiska zamezilo [Anon., 2018].

Meze použití železných kovů

Železné kovy se většinou vyrábí z roztoku (slitiny) Fe a C. Tento roztok má tu výhodu, že podle rychlosti chladnutí a obsahu C můžeme získat vícero modifikací krystalické mřížky (polymorfie) a tedy jiné mechanické vlastnosti, viz Obrázek 51. Podle složení rozlišujeme oceli, legované oceli a litiny. Některé ocelové slitiny lze dobře tepelně, chemicky i mechanicky zušlechťovat (měnit modifikace krystalických mřížek v určených oblastech tělesa).

MEZE POUŽITÍ MATERIÁLŮ
strana 3.44
– 51: –
Mechanické vlastnosti oceli podle obsahu uhlíku
Mechanické vlastnosti oceli podle obsahu uhlíku: C [%] hmotnostní podíl uhlíku; HBW [SI] tvrdost podle Brinella; K2c/E [J·cm-2]; δ [%]; ψ [%]. Data z [Beneš et. al., 1974, s. 162].
Obecné vlastnosti slitin Fe-C ovlivňuje jejich krystalizace
Při pomalém chladnutí a určité teplotě dojde ke sloučení Fe a C na sloučeninu Fe3C (karbid železa neboli cementit), takže při pokojové teplotě získáme tuhý roztok (slitinu) Fe-Fe3C, čemuž odpovídají konkrétní modifikace krystalické mřížky. Uhlík, který se nesloučí krystalizuje ve formě grafitu. Při obsahu 6,67% C připadá právě jeden uhlík na tři atomy železa a v celý objem tohoto nasyceného roztoku by měl tvořit Fe3C. Čím rychleji roztok Fe-C ochladíme tím menší je pravděpodobnost vzniku sloučenin Fe3C (atomy uhlíku se nestihnout přesunout na reakční vzdálenost s Fe a zůstane uvězněn v mřížce) a místoho toho vznikne krystal obsahující 3 Fe a jeden C nazývaný martenzit. Výhodou slitin Fe-C, respektive Fe-Fe3C je její dostupnost a možnost použití v širokém teplotním rozsahu. Nevýhodou je vysoká hustota, což znamená vysoké hmotnosti a vyšší namáhání od hmotnostních sil (např. odstředivá). Většina slitin železa podléhá korozi a není odolná kyselinám.
Co je ocel?
Slitina železa do 2% C obsahu uhlíku se standardně označuje jako ocel. Obvykle obsahuje i stopové množství doprovodných prvků, které se dostaly do oceli při výrobě a mohou být považovány za nečistoty, těmito stopovými prvky jsou nejčastěji Mn, Si, Cu, které v obvyklých množství nemají vliv na vlastnosti oceli. Ocel obsahuje i škodlivé příměsi jako P a S, které zhoršují vlastnosti oceli prakticky i ve velmi malém množství.
MEZE POUŽITÍ MATERIÁLŮ
strana 3.45
Základní mechanické vlastnosti oceli
Mez kluzu ocelí je 345 až 635 MPa, měrný elektrický odpor od 0,1 až 0,4 Ω·mm2·m-1 (vyšší čísla pro vyšší obsah uhlíku), modul pružnosti v tahu kolem 206·103 MPa, průměrná hustota 7 850 kg·m-3.
Speciální vlasnosti ocelí
Uhlíkové oceli s nízkým obsahem uhlíku se dobře tváří a svařují (dobře se odlévají cca do 0,6 % C). Díky příměsím nitridů podléhají uhlíkové oceli stárnutí při vyšších teplotách. Používají se ve formě plechů pro tváření a svařování pro výrobu dílů pracujících při nízkých teplotách cca do 250 °C (např. svařované vstupní a výstupní skříně, plechové lopatky ventilátorů a pod.). Nejsou odolné korozi, nutná je antikorozní úprava povrchu, např. zinkovaní povrchu či antikorozní nátěry. Pro změnu mechanických vlastností, případně zvýšení odolnosti proti korozi či stárnutí, se přidává malé množství legujících příměsí.
Vlastnosti legovaných ocelí ovlivňují legující prvky
Především z důvodu zlepšování mechanických i chemických vlastností oceli se do oceli přidávají legující příměsi, proto takovou ocel označujeme jako legovanou, respektive bez příměsí jako uhlíkovou. Nejčastějšími tzv. legujícími prvky jsou Mn, Si, Cr, Ni, Mo,V, W, Co, Ti, Al. Jak jednotlivé příměsi mění vlastnosti oceli je uvedeno například v [Beneš et al., 1974, s. 166]. Nevýhodou použití legujících příměsí v oceli je, že sice zlepšují primární požadovanou vlastnost ale jinou zhoršují, proto je někdy výhodnější materiály kombinovat, například i formou povlaků či návarků z jiných materiálů, než je základní materiál ke snížení tření, zvýšení korozivzdornost nebo odolnosti vůči otěru.
Co je to litina?
Za litinu jsou považovány slitiny Fe s obsahem C nad 2,14 % (do 3,5 % C se označuje jako šedá litina), obvyklou příměsí je i Si.
Vlastnosti litin a jejích použití
Litiny mají obecně dobrý tlumicí účinek vibrací, otěruvzdornost, odolnost proti korozi a relativně dobře se z ní vyrábí malé (minimální tloušťka stěny 4-5 mm) i několika několika tunové odlitky. Použití litiny na strojích pro jejich dobrou otěruschopnost se už nevyužívá, protože jako kluzné plochy jsou používány plasty, neželezné kovy nebo materiály na bázi uhlíku. Velkou výhodou šedé litiny je její relativně nízká cena v porovnání s dalšími kovovými materiály. Z litiny se vyrábí ventilové skříně, rotory čerpadel (pokud nehrozí kavitace), skříně turbín i čerpadel, výstupní i vstupní hrdla, ložiskové stojany, spirální skříně čerpadel a menších vodních turbín apod.
MEZE POUŽITÍ MATERIÁLŮ
strana 3.46

Meze použití hliníku a mědi

Hliník a měď jsou jednoznačně nejfrekventovanější neželezné kovy používané ve strojírenství. Mimo tyto dva kovy se používají i jiné například hořčík, titan, nikl, wolfram a další.

Použití hliníku
Z hliníku se velmi dobře odlévají i tenké a přesné odlitky. Používá se i k výrobě skříní strojů a také tam, kde je požadavek na lehkou konstrukci, tj. letecký průmysl a přenosná zařízení jako přenosná čerpadla...
Mechanické vlastnosti hliníku
Hliníkové slitiny jsou méně pevné (mez pevnosti cca do 250 MPa) než slitiny železa, ale mají menší hustotu, což snižuje napětí od hmotnostních sil (například odstředivé) i celkovou hmotnost součásti. Je dobře elektricky vodivý, což na druhou stranu může způsobovat galvanickou korozi při styku s jinými kovy. Pro zlepšení odolnosti vůči otěru se povrch oxiduje (tzv. eloxování).
Chemická odolnost hliníku
Ve vnějším prostředí je čistý hliník odolný korozi (zoxidovaný povrch se neodlupuje jako u ocelí), to platí i pro jeho slitiny pokud neobsahují měď (např. dural). Špatně odolává prostředí s vysokým nebo nízkým pH a prostředí s obsahem chloridů.
Použití mědi
Slitiny mědi mají vhodné vlastnosti pro lití nebo kování. Dnes se používají především jako kovová těsnění čerpadel pro dobrou samomaznost.
Mechanické vlastnosti mědi
Slitiny mědi mají vysokou hustotu, nízkou pevnost a nízkou teplotní odolnost. Nejsou odolné na otěr.
Chemická odolnost mědi
Nelze je použít tam, kde je podmínka naprostého sterilního prostředí, protože se z jeho povrchu uvolňují oxidy. Nejsou odolné prostředí s vysokým pH, obsahující čpavek nebo sulfidy [Anon., 2004, s. 69]. Nejpoužívanější slitinou mědi bronz (slitina Cu a Sn), který je velmi odolný vodě obsahující chloridy jako například mořská voda, proto se z ní vyrábí lodní šrouby či oběžná kola čerpadel na mořskou vodu apod.
MEZE POUŽITÍ MATERIÁLŮ
strana 3.47

Meze použití teflonu a ostatních plastů

Teflon a další plasty (polymery jako PPS, PEEK, EP, PVC) se jako konstrukční materiály prosazují díky svým nízkým pořizovacím i zpracovatelským nákladům. Teflon a další plasty mají velmi různorodé vlastnosti, které závisí na složení a pracovní teplotě. Dosažitelné vlastnosti těchto materiálů jsou: vysoká pružnost, přilnavost, bezmaznost a zároveň kluznost, respektive vysoká otěruvzdornost či odolnost vůči povětrnostním vlivů (bez abrazivních účinků) nebo kyselinám, dobrá obrobitelnost i licí a vstřikovací vlastnosti. Obvykle je nalezneme jako těsnící plochy ventilů, hřídelí (ucpávky i prachovky), posuvných tyčí a dosedací plochy ventilů. Jsou častým materiálem u  ministrojů jako chladící ventilátory elektroniky a malá cirkulační čerpadla. Většina plastů je špatným elektrickým vodičem. Plasty mají relativně vysokou pevnost vzhledem ke své hustotě. Plasty se používají i k ochraně povrchu kovových částí strojů, například před působením kyselin. Naopak plastové díly nejsou vhodné do abrasivního prostředí. Vlastnosti plastových materiálu naleznete na adrese  [boedeker.com; Boedeker Plastics, Inc].

Použití teflonu podle příměsí
Teflon (Polytetrafluoroethylene) má vynikající kluzné vlastnosti i do teplot kolem 200 °C, používá se u kluzných ložisek jako antikorozní povlaky, kluzné těsnění vřeten ventilů i jako dosedací plochy sedel ventilů – špatně se nanáší ve větších vrstvách, má dobrou obrobitelnost. Čistý teflon se používá málo a spíše obsahuje nějaké příměsi jako sklo (zvyšuje odolnost proti otěru, chemickou odolnost vyjma zásad či hydrogenfluoridu), grafit (snižuje velmi součinitel tření, zvyšuje pevnost v tlaku, zvyšuje odolnost proti otěru), uhlík (zvyšuje tepelnou vodivost a odolnost proti deformaci), molymbdendisulfid (snižuje přilnavost, snižuje součinitel tření při rozběhu, zvyšuje odolnost proti deformaci), bronz (zvyšuje pevnost v tlaku, odolnost proti otěru, zvyšuje tepelnou vodivost).
Použití PPS
PPS (Polyfenylsulfid) tvrdý plast použitelný až do 200 °C, který se používá na výrobu rotorů cirkulačních čerpadel určených k čerpání horké vody.
MEZE POUŽITÍ MATERIÁLŮ
strana 3.48
Použití PEEK
PEEK (Polyetherketon) se také používá k výrobě rotorů čerpadel, je odolný proti otěru i většině organických rozpouštědel, použití maximálně do 100 °C – například rotory kalových čerpadel.
Použití EP
EP epoxidová pryskyřice-sklolaminát, používá se k výrobě vrtulí, lopatek větrných turbín i ventilátorů, je pevný, ale křehký, odolný povětrnostním vlivům. Má nízkou hustotu a tedy i odstředivé síly působící na lopatky jsou nízké. Případně se jako pojivo do sklolaminátu používá PF (fenolformaldehydová pryskyřice), která má vyšší pevnost.
Použití PVC
PVC polyvinylchlorid, používá se jako potahový materiál některých části čerpadel pro odolnost proti kyselinám a zásadám. NBR (butadien-acrylnitril-kaučuk) vysoká abrazivní odolnost, použití jako těsnění – prachovka, teploty -40 až 108 °C.
Otěruvzdornost plastů
Plastové kluzné plochy (plast/kov) mají maximální povolené drsnosti do Ra 0,4 u intenzivně pohyblivé části s dlouhou životností spíše do Ra 0,1. Plastové díly na pohyblivých stykových plochách nemusí být mazány, ale také mají omezenou kluznou rychlost přibližně na 3 m·s-1, která klesá s rostoucím tlakem, protože součin styčného tlaku a rychlosti je limitován. Třecí teplo je nutné odvádět jinak než mazivem. Proto se plastová ložiska usazují do chlazených pouzder. Chlazení plastových dílů je naprosto nezbytné u strojů, kde pracovní látky mají teplotu blížící se teplotě hraničící s pracovní teplotou plastového dílu nebo ji dokonce překračuje. S těmito skutečnostmi je potřeba při konstrukci stroje počítat.

Meze použití uhlíkových materiálů, keramiky a ostatních alternativních materiálů

Mimo výše uvedené materiály používáme materiály, které nelze zařadit ani mezi kovy ani mezi plasty. Je to například grafit, keramika a biomateriály. Tyto materiály mají většinou velmi zvláštní použití často bez alternativ, u kterých by bylo dosaženo požadovaných uživatelských vlastností.

Použití grafitu
Grafit se používá především jako materiály dotykových ucpávek (grafitové šňůry apod). V konstrukci i lopatek větrných turbín se prosazují i uhlíková vlákna místo vláken skelných, pro svoje mechanické vlastnosti.
MEZE POUŽITÍ MATERIÁLŮ
strana 3.49
Použití Keramiky
Keramika nebo kamenivo se používá jako výstelka přívodních kanálů čerpadel a kompresorů, především tam, kde se používá agresivních pracovních látek jako jsou kyseliny. Povlak se vytváří přilepením, nátěrem, nástřikem a teplotním zpracováním (například PTFE vrstvy) nebo elektrochemickým způsobem (Pokud konstruktér je nucen kombinovat dva nebo více materiálů, musí brát v úvahu rozdílnou délkovou roztažnost hlavně při velkých změnách teplot mezi klidem stroje a provozní teplotou). Možné je i chemicko-tepelné zpracování povrchu základních materiálu za podobnými účely. Keramická vlákna se používají i ke snížení creepu, viz výše.
Použití biomateriálů
Ve strojích se mohou vyskytovat také tzv. bio-materiály šetrné k přírodě (jsou v přírodě rozložitelné a jejich zpracování není energeticky náročné). Mezi takové materiály se počítá i dřevo a výrobky z celulózy či škrobů. Vyrábí se z nich obvykle skříně, izolace strojů a lopatky (například malých větrných turbín a vrtulí) apod. Nevýhodou bio-materiálů jsou poměrně velká bio-degravatelnost, vysoké požadavky na údržbu a nižší odolnost v povětrnostních podmínkám.

Odkazy

ŠKORPÍK, Jiří, 2023, Technická matematika, engineering-sciences.education, Brno, [online], ISSN 1804-8293, https://transformacni-technologie.cz/technicka-matematika.html.
ANON., 2004, Pump handbook, Grundfos industry, Bjerringbro, http://www.grundfos.com.
ANON., 2018, Schaeffler zvyšuje spolehlivost ložisek pro větrné elektrárny uplatňováním konstrukčních opatření a řešení koncepce „Průmysl 4.0“, Technický týdeník, č. 18, Business Media CZ, Praha, ISSN 0040-1064.
BENEŠ, Antonín, DRASTÍK, František, HOSTINSKÝ, Zdeněk, KOUTSKÝ, Jaroslav, NĚMEC, Josef, 1974, Nauka o kovech, SNTL, Praha.
BOHÁČEK, František, DVOŘÁK, Karel, 1996, Části a mechanismy strojů II, hřídele, tribologie, ložiska, Fakulta strojní VUT v Brně, Brno, ISBN 80-214-0829-4.
BRENDEL, Horst, HORNUNG, Elfriede, LEISTNER, Dietmar, NEUKIRCHNER, Johannes, SCHMIDT, Hans, WINKLER, Herbert, WINKLER, Lothar, 1984, Tribotechnika, SNTL, Praha.
BROEK, David, 1989, The practical use of fracture mechanics, Kluwer Academic Publishers, Dordrecht, ISBN 0-7923-0223-0.
BUDYNAS, Richard, SADEGH, Ali, 2020, Roark's Formulas for Stress and Strain, McGraw-Hill, United States of America, ISBN 978-1-260-45375-1.
BURŠA, Jiří, HORNÍKOVÁ, Jana, JANÍČEK, Přemysl, ŠANDERA, Pavel, 2003, Pružnost a pevnost: Interaktivní učební text, CERM, Brno, ISBN 80-7204-268-8, http://beta.fme.vutbr.cz/cpp/.
FRÖHLICH, Jan, 1978, Valivá ložiska, Statní nakladatelství technické literatury, Praha.
GOODNO, J., Barry, GERE, M., James, 2016, Mechanics of Materials, Cengage Learning, Boston, ISBN: 978-1-337-09335-4.
HALAMA, Radim, ADÁMKOVÁ, Ludmila, FOJTÍK, František, FRYDRÝŠEK, Karel, ŠOFER, Michal, ROJÍČEK, Jaroslav, FUSEK, Martin, 2011, Pružnost a pevnost, Vysoká škola báňská, Ostrava, mi21.vsb.cz/sites/mi21.vsb.cz/files/unit/pruznost_a_pevnost.pdf.
HORÁK, Zdeněk, KRUPKA, František, 1976, Fyzika: příručka pro vysoké školy technického směru, SNTL - Nakladatelství technické literatury, Praha.
KUNZ, Jiří, 2020, Základy lineární a nelineární lomové mechaniky pro inženýrskou praxi, Česká technika - nakladatelství ČVUT, Praha, ISBN 978-80-01-06672-0.
MEZE POUŽITÍ MATERIÁLŮ
strana 3.50
JANCO, Roland, HUCKO, Branislav, 2013, Introduction to mechanics of materials: Part II, Bookboon.com, ISBN 978-87-403-0366-7.
KRUTINA, Jaroslav, 1973, Sbírka vzorců z pružnosti a pevnosti, Státní nakladatelství technické literatury (SNTL), Praha.
KUBA, František, 1977, Teorie pružnosti a vybrané aplikace, SNTL, Praha, 1977.
MURAKAMI, Y., HASEBE, M.T., ITOH, Y., KISHIMOTO, K., MIYATA, H., MIYAZAKI, N., TERADA, H., TOHGO, K., YUUKI, R., 1987, Stress intensity factors handbook, Pergamon Press, Oxford, ISBN : 0-08-034809-2.
NĚMEC, Jaroslav, HÖSCHL, Cyril, DVOŘÁK, Jan, 1989, Pružnost a pevnost ve strojírenství, SNTL-Nakladatelství technické literatury, Praha, ISBN 80-03-00193-5.
PILKEY, Walter, Chang, Pin Yu, 1978, Modern formulas for statics and dynamics: A Stress-and-Strain Approach, McGraw-Hill, New York, ISBN: 0070499985
PILKEY, Walter, PILKEY, Deborah, BI, Zhuming, 2020, Peterson's Stress Concentration Factors, John Wiley & Sons, Inc., New York, ISBN: 978-1-119-53251-4
PTÁČEK, Luděk, MÜNSTEROVÁ, Eva, MACEK, Karel, ZUNA, Petr, VLACH, Bohumil, CIHLÁŘ, Jaroslav, KOŘÍNEK, Zdeněk, FORET, Rudolf, 2003, Nauka o materiálu I. II., Akademické nakladatelství CERM, Brno, ISBN 80-7204-283-1.
RAŽNJEVIĆ, Kuzman, 1984, Termodynamické tabuľky, Alfa, Bratislava.
SHIGLEY, Joseph, MISCHKE, Charles and BUDYNAS, Richard, 2004, Mechanical Engineering design, The McGraw-Hill Companies, Inc. ISBN: 9780072520361. (České vydání: SHIGLEY, Joseph, MISCHKE, Charles and BUDYNAS, Richard, VLK, Miloš (ed.), 2010, Konstruování strojních součástí, VUTIUM, Brno, ISBN 978-80-214-2629-0).
SZABÓ, István, 1967, Mechanika tuhých těles a kapalin, Státní nakladatelství technické literatury, Praha.
ŠAFR, Emil, 1970, Technika mazání, SNTL, Praha.
©Jiří Škorpík, LICENCE