|
– autor: –
ŠKORPÍK, Jiří (LinkedIn.com/in/jiri-skorpik)
– datum vydání: –
Září 2024
– název: –
Termodynamika turbokompresorů
– sborník: –
– provenience: – Brno (Česká republika)
– email: – skorpik.jiri@email.cz
Copyright©Jiří Škorpík, 2024 |
Komprese v turbokompresoruCharakteristickým rysem komprese v turbokompresoru je plynulost děje transformace práce na tlakovou a vnitřní energii pracovního plynu. Základním požadavkem je zvýšení tlaku, respektive dosažení požadovaného kompresního poměru (viz Rovnice 610), při minimálním zvýšení teploty, která významně narůstá zejména pokud není komprese chlazená. – 610: – Kompresní poměr kompresoru ![]() p [Pa] tlak; ε [1] kompresní poměr. Index i označuje stav na vtoku do turbokompresoru, index e označuje stav na výtoku z turbokompresoru. Při vyšetřování průběhu komprese je třeba odlišovat jednostupňovou a vícestupňovou kompresi. Obě komprese vyžadují trochu jiný přístup k pochopení příčin ztrát a přístup ke stanovení opatření k jejich snížení. Adiabatická kompreseVýpočtový model adiabatické komprese se používá v případech, při kterých se neočekává významný vliv sdílení tepla s okolím turbokompresoru.
|
|
– 118: – Adibatická komprese v h-s a T-s diagramu ![]() Lq [J·kg-1] ztrátové teplo ([Škorpík, 2024]); ΔeK [J·kg-1] rozdíl kinetické energie mezi vtokem a výtokem (obvykle nevýznamný rozdíl); h [J·kg-1] entalpie; Δh [J·kg-1] rozdíl entalpii; Δhis [J·kg-1] rozdíl entalpii při izoentropické kompresi; Lw [J·kg-1] vnitřní ztráty v kompresoru (práce přívedená do stupně navíc oproti izoentropické kompresi); s [J·kg-1·K-1] entropie; T [K] absolutní teplota; V [m·s-1] rychlost; v [m3·kg-1] měrný objem; wi [J·kg-1] vnitřní práce; wis [J·kg-1] vnitřní práce při izoentropické kompresi; Δ [J·kg-1] přídavné ztráty. Index is označuje stavy při izoentropické kompresi, index s celkový stav. T-s diagram je sestrojen při nevýznamném rozdílu kinetických energií. Rovnice jsou odvozeny v Příloze 118.
– 121: – ![]() 1+f [1] součinitel přídavných ztrát (preheat coefficient); Z [-] počet stupňů; Δj [J·kg-1] přídavné ztráty jednoho stupně; ηi [1] vnitřní účinnost komprese mezi body 1-Z. Index j označuje j-tý stupeň. Rovnice jsou odvozeny pro předpoklad, že všechny stupně zpracovávají stejný entalpický spád a komprese je adiabatická. Pro přehlednost není v obrázku zakreslena kinetická energie absolutní rychlosti. Rovnice jsou odvozeny v Příloze 121. |
|
– Úloha 122: –
Turbokompresor nasává vzduch o teplotě 15 °C a tlaku 0,1013 MPa, na výstupu z turbokompresoru má vzduch teplotu 293 °C a tlak 0,802 MPa. Určete přídavné ztráty, součinitel přídavných ztrát a vnitřní účinnost ηi. Turbokompresor má 12 stupňů. Komprese je nechlazená, respektive uvažujte adiabatickou kompresi. Řešení úlohy je uvedeno v Příloze 122.
![]() Užití lineární aproximace termodynamických změn v T-s diagramu k přibližnému určení velikosti přídavných ztrát při kompresi: T [K]; t [°C]; s [J·K-1·kg-1] Polytropická kompreseV některých případech kompresi ovlivňuje sdílení tepla s okolím kompresoru. Například při záměrném chlazení kompresoru, nebo, když je komprimován kryogenní plyn, který je ohříván okolím. V takových případech je komprese podobná polytropické kompresi – porovnávací ideální kompresí je v tomto případě vratná polytropická komprese. Polytropickou kompresi popisují Rovnice 687. Tyto rovnice lze odvodit z rovnice prvního zákona termodynamiky. – 687: – Polytropická komprese při q>0 ![]() q [J·kg-1] teplo sdílené s okolím. Index pol označuje vratnou polytropickou kompresi. Na obrázku je případ q>0 (přívod tepla – jestliže he, pol-he,is>0, pak se jedná o součet přivedeného tepla a přídavných ztrát, které vznikl v důsledku přívodu tepla). T-s diagram je sestrojen při nevýznamném rozdílu kinetických energií. |
|
– 688: – Polytropická komprese pro případ chlazené komprese ![]() (a) případ pro Lw<-q; (b) případ kdy Te=Ti (zdánlivě izotermická komprese – teplota chladícího média musí být v tomto případě nižší než teplota pracovního plynu na vstupu do kompresoru Ti). Jestliže he,pol-he,is<0, pak se jedná o součet odvedeného tepla a úspory práce v důsledku chlazení komprese. T-s diagram je sestrojen při nevýznamném rozdílu kinetických energií.
– Úloha 849: –
Stanovte vnitřní izoentropickou, polytropickou a izotermickou účinnost turbokompresoru, který komprimuje suchý vzduch. Vstupní teplota vzduchu je 14,34 °C, výstupní je 480,6 °C. Tlak na vstupu je atmosférický a kompresní poměr je 23. Vnitřní příkon turbokompresoru je 12,6 MW. Turbokompresor je vybaven plášťovým chlazením o výkonu 0,8 MW. Řešení úlohy je uvedeno v Příloze 849.
![]() Užití lineární aproximace vratné polytropické komprese v T-s diagramu k přibližnému určení stavu epol: T [K]; t [°C]; s [J·K-1·kg-1]; q [kJ·kg-1] |
Provedení chlazení turbokompresorůChlazení komprese je nejefektivnější způsob snížení vnitřní práce kompresoru, přičemž existuje několik možností jak toho dosáhnout. Komprimovaný plyn v průběhu komprese lze kontinuálně chladit dvěma způsoby a to povrchově nebo vstřikování chladící kapaliny do komprimovaného plynu. Chlazení lze ale provést i přetržitě po stupních pomocí tzv. mezichlazení. Každé chlazení ale generuje nový druh ztrát, takže efektivní chlazení lze provést jen za určitých podmínek.
– 608: – ![]() Turbokompresor s jedenácti radiálními stupni a s povrchovým chlazením. Vyrobil Demag.
|
– 932: – Vstřikovací tryska pro vstřikování chladící kapaliny ![]()
|
|
– 671: – ![]() C-mezichladiče plynu; e*-konečný stav pracovního plynu na výstupu z kompresoru v případě komprese bez chlazení. pC1, pC2 [Pa] tlak před vstupem do mezichladičů; w*i [J·kg-1] vnitřní práce kompresoru pro případ komprese bez chlazení. – Úloha 612: –
Stanovte vnitřní účinnost turbokompresoru, který komprimuje suchý vzduch. Vstupní teplota vzduchu je 14,34 °C, výstupní je 156,6 °C. Tlak na vstupu je atmosférický a kompresní poměr je 23. Vnitřní příkon turbokompresoru je 10,6 MW. Turbokompresor je vybaven dvěma mezichladiči na tlakových úrovní 0,7 MPa a 1,4 MPa. Chladící výkon chladičů je 6,5 MW. Řešení úlohy je uvedeno v Příloze 612.
![]()
|
|
– 840: – ![]() Turbokompresor se sedmi radiálními stupni a se dvěma mezichladiči. Vyrobil Escher Wyss.
|
|
– 637: – Rozdíl mezi prací izoentropické a izotermické komprese ![]() wit [J·kg-1] práce izotermické komprese; Δwi [%] maximální teoretická úspora práce díky chlazení, Δwi=(wis·w-1it-1)100; κ [1] poměr tepelných kapacit pracovního plynu (κ=1,13 například CH4, κ=1,22 například C2H4, κ=1,33 například pára H2O, κ=1,4 například vzduch, κ=1,67 například He). Odvození rovnice je uvedeno v Příloze 637. Termodynamický návrh stupně turbokompresoruPro termodynamický návrh stupně kompresoru lze použít poznatky publikované v předchozích článcích tohoto sborníku (Lopatkové stroje). Následuje tedy shrnutí a doplnění některých speciálních poznatků týkající se termodynamiky kompresorových stupňů: výběr typu stupně; h-s diagramy stupňů; predikce Eulerovy práce; lopatky turbokompresorů. Doporučené hodnoty podobnostních součinitelů pro návrh jednotlivých stupňů jsou uvedeny v [Japikse, 1997, s. 1-3].
|
|
– 719: – ![]() h-s diagramy stupňů kompresoru na vyšetřovaném poloměru r: (a) axiální stupeň; (b) radiální stupeň. Lh [J·kg-1] profilové ztráty; qE [J·kg-1] sdílené teplo s okolím vyšetřované proudnice; ∑ L [J·kg-1] vnitřní ztráty stupně, součet všech ztrát ve stupni. Index 1 označuje stav před rotorovou řadou lopatek.
– 609: – Průběh Eulerovy práce axiálního stupně kompresoru ![]() r [m] poloměr stupně; wE,m [J·kg-1] průměrná hodnota Eulerovy práce. Index h označuje patní poloměr lopatek, index t poloměr u špic lopatek.
|
|
– 1101: – Rychlostní trojúhelník axiálního kompresorového stupně ![]() R-rotorová řada lopatek; S-statorová řada lopatek. l [m] délka lopatek; rm [m] střední poloměr; U [m·s-1] obvodová rychlost; V [m·s-1] absolutní rychlost; W [m·s-1] relativní rychlost; α [°] úhel absolutní rychlosti; β [°] úhel relativní rychlosti. Rychlostní trojúhelník je nakreslen pro střední poloměr a stupeň reakce 0,5. – Úloha 726: –
Proveďte základní návrh rozměrů rotoru jednostupňového radiálního turbokompresoru s axiálním vstupem (bez předřazených lopatek). Lopatky rotoru mají na výstupu radiální směr, viz obrázek. Parametry suchého vzduchu na vstupu do rotoru jsou: 101,33 kPa, 15 °C. Požadovaný tlak ze statorové řady lopatek je 0,44 MPa. Požadovaný hmotnostní tok je 0,7225 kg·s-1. Řešení úlohy je uvedeno v Příloze 726.
![]() ΔWθ [m·s-1] odchylka obvodové složky relativní rychlosti na výstupu z rotoru způsobená protiběžným vírem (skluz). Změna relativní vlhkosti vzduchu při kompresiPři kompresi vlhkého vzduchu se zvyšuje tlak plynů i tlak páry obsažený ve vzduchu. Při adiabatické kompresi bude obsah páry na konci komprese vždy v přehřátém stavu, a to i v případě komprese sytého vzduchu. Znamená to, že relativní vlhkost na konci komprese bude vždy menší než na počátku, a proto ke kondenzaci páry ve vzduchu nemůže docházet. Nicméně při vyšším tlaku vzroste i teplota kondenzace vlhkosti ve vzduchu z původní absolutní teploty Ti,C na teplotu Te,C, viz Obrázek 1050 (s. 14). To znamená, že pokud klesne teplota komprimovaného vzduchu pod teplotu Te,C, začne vlhkost ve vzduchu kondenzovat. |
|
– 1050: – T-s diagram komprese páry ve vzduchu ![]() p [Pa] parciální tlak vodní páry ve vzduchu; TC [K] absolutní teplota kondenzace páry ve vzduchu při tlaku na počátku komprese (index i) a konci komprese (index e); x [1] suchost páry. Na obrázku je případ izoentropické komprese.
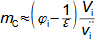
– 1049: – ![]() mC [kg] množství vyloučeného kondenzátu z komprimovaného a ochlazeného vlhkého vzduchu zpět na teplotu ti (záporná hodnota znamená, že relativní vlhkost vzduchu na konci komprese a po vychlazení φe bude menší než 1, a proto nebude docházet ke kondenzaci); Vi [m3] objem zkomprimovaného vzduchu měřený na sání; v''i [m3·kg-1] měrný objem syté páry při teplotě na sání ti; φ [1] relativní vlhkost vzduchu. Odvození této rovnice je uvedeno v Příloze 1049.
|
|
– 1051: – ![]() mC [g·m-3]; ε [1]; ti [°C] teplota; φi [%] |

| O stránkách | Pro studenty | e-shop | Kontakt |