KMITÁNÍ

–    strana 4.3    –
–    strana 4.5    –
–    Úloha 1:    –
–    strana 4.8    –
–    strana 4.9    –
– strana 4.10-4.27 –
KMITÁNÍ
strana 4.2
– autor: –
ŠKORPÍK, Jiří (LinkedIn.com/in/jiri-skorpik)
–  datum vydání:  –
prosinec 2025
– název: –
Kmitání
– sborník: –
– provenience: –
Brno (Česká republika)
– email: –
skorpik.jiri@email.cz

Copyright©Jiří Škorpík, 2025
All rights reserved.

KMITÁNÍ
strana 4.3

Charakteristika opakující ho se pohybu

Za kmitání tělesa považujeme jeho pravidelně se opakující nepřerušený pohyb mezi dvěma polohami. Tento pohyb vzniká od soustavné silové nerovnováhy působící na těleso. V Technické praxi bývá tato silová nerovnováha obvykle způsobena mezi působením vnějších sil na těleso a elastickými deformacemi tělesa nebo s ním spojených konstrukcí. Většina technických případů lze připodobnit kmitání kyvadla, kmitání tělesa spojené s pružinou (kmitaní pružiny) a kmitání tělesa spojené s torzní tyčí (tzv. torzní kmitání). Charakteristickou veličinou kmitavého pohybu je jeho frekvence. Kmitání součásti může být hlavní funkcí dané součásti, ale také funkcí nežádoucí.

Silová a energetická bilance kmitání kyvadla
Na Obrázku 1a je kyvadlo na něhož působí tíhové zrychlení g zachycené v rovnovážné poloze. Abychom vychýlili kouli na konci kyvného ramena musíme překonat tíhovou sílu Fh silou F0. Takže v okamžiku t=0 platí rovnost Fh. Tíhovou sílu lze v potenciálním gravitačním poli vypočítat pomocí lineární Rovnice 1b. Po odstranění síly F0 se koule začne pohybovat po kružnici z polohy-0, přitom se bude snižovat jeho potenciální energie EP a zvyšovat kinetická energie EK. V nejnižším bodě pohybu bude jeho EP nejmenší a EK a tedy i rychlost největší. Setrvačností se bude těleso pohybovat dále a jeho výška nad povrchem se bude zvyšovat. Současně poroste jeho EP a bude klesat EK až do okamžiku, kdy se zastaví na protější straně a jeho EK=0, θ=-θ0. Z této polohy dojde opět k pohybu ale opačným směrem. Tento kývavý pohyb se bude opakovat tak dlouho, pokud nějaká tlumící síla (třecí síla, odporová od proudění okolního vzduchu...) těleso postupně nezastaví (neutlumí).
– 1: –
Silová bilance kmitání kyvadla.
m [kg] hmotnost tělesa; t [s] čas; g [m·-2] gravitační zrychlení; F0 vnější síla působící na těleso v čase t=0 s (zatěžující síla); Fh [N] tíha tělesa; θ [rad] úhel; x [m] poloha těžiště tělesa.
KMITÁNÍ
strana 4.4
Silová a energetická bilance kmitání pružiny
Na Obrázku 2a je znázorněno těleso o hmotnosti m spojené s pružinou, na které ve směru osy pružiny působí zatěžující síla F0, tak, že pružinu natahuje o délku 2·Δx. V tomto okamžiku t=0 s je těleso s pružinou v klidu, protože nastala silová rovnováha mezi silou F0 a silou od elastické deformace pružiny Fel. Po odstranění síly F0 začne síla Fel způsobovat zkracování pružiny. Při tomto ději postupně poroste kinetická energie tělesa EK na úkor energie elastické deformace pružiny (jedná se o energii spotřebovanou pro prodloužení pružiny o délku Δx). Po dosažení polohy 0 (Fel=0 N) se situace otočí a pružina se začne stlačovat. Pro stlačení pružiny je potřeba energie, o kterou se sníží kinetická energie tělesa EK. Odtud pohyb tělesa bude zpomalovat až na do úplného zastavení v poloze -Δx. Z této polohy dojde opět k pohybu ale opačným směrem. Tento kmitavý pohyb se bude opakovat tak dlouho, dokud nějaká tlumící síla (odporová od proudění okolního vzduchu, tření vnitřní struktury materiálu pružiny...) těleso nezastaví v klidové poloze zb.
– 2: –
Silová a energetická bilance kmitání pružiny
Fel [N] síla elastické deformace (předpoklad platnosti Hookeova zákona pro lineární deformaci); k [N·m-1] tuhost pružiny v tahu.
Silová a energetická bilance torzního kmitání
Na Obrázku 3a je znázorněn disk o hmotnosti m připevněný k torzní tyči. Tento disk je silou F0 působící na rameni o délce r otočen kolem své osy o úhel θ0. Proti té síla působí moment sil Tel od elastické deformace zkroucení torzní tyče. Po odstranění síly F0 se začne tyč vracet zpět do polohy θ=0° se zvyšují úhlovou rychlostí otáčení ω a tedy i se zvyšující se kinetickou energií disku EK na tyči zavěšeného. EK disku se zvyšuje na úkor elastické deformace torzní tyče v krutu (jedná se o energii spotřebovanou pro zkroucení tyče o úhel θ0). Po dosažení bodu θ=0 se situace otočí, a tyč se opět začne kroutit tentokrát v důsledku setrvačných sil hmoty disku do záporných úhlů zkroucení. Pro zkroucení tyče je potřeba energie, o kterou se sníží kinetická energie disku EK. Odtud rotace disku bude zpomalovat až do zastavení v poloze -θ0. Z této polohy dojde opět k rotaci disku ale opačným směrem. Tento kmitavý pohyb se bude opakovat tak dlouho, dokud nějaká tlumící síla (odporová od proudění okolního vzduchu, tření vnitřní struktury materiálu torzní tyče...) disk nezastaví v klidové poloze θ=0°.
KMITÁNÍ
strana 4.5
– 3: –
Silová a energetická bilance kmitání pružiny
kθ [N·m·rad-1] tuhost konstrukce v krutu; T [N·m] kroutící moment.
Volný harmonický pohyb a vliv tlumících a zesilujících sil
U většiny kmitavého pohybu lze zaznamenat postupné změny v každém opakování, přičemž ideální kmitavý pohyb se nazývá volný harmonický pohyb. Tlumící síly zmíněné v předchozích třech případech kmitání disipují kinetickou energii těles tak, že se transformuje na vnitřní tepelnou energii okolí. Opakem sil tlumících jsou síly zesilující kmitavý pohyb. Oba druhy sil mohou měnit jak výchylky, tak frekvenci kmitavého pohybu.
Frekvence kmitání při harmonických kmitech
Příklady na Obrázcích 1, 2, 3 představují tzv. kmitání s jedním stupněm volnosti, protože pohyb je pouze v jednom směru. Současně se jedná o volné kmity, protože od okamžiku t=0 nepůsobí na tělesa žádná vnější síla (pouze hmotnostní, které nelze ovlivnit). Bez disipace energie by se jednalo i harmonické kmity, to znamená, že doba jednoho kmitu, kterou nazýváme periodou, je stálá, viz Obrázek 4.
– 4: –
Příklady průběhu harmonických kmitů
(a) volné harmonické kmitaní pružiny; (b) volné harmonické kmitání torzní tyče; (c) vzorec pro frekvenci harmonických kmitů. f [s-1], [Hz] frekvence kmitání; t [s] čas; z [m] poloha sledovaného bodu v tělese (obvykle těžiště); τ [s] perioda.

Volné harmonické kmity s jedním stupněm volnosti

Harmonické neboli stacionárního kmitání těžiště je základním zjednodušeným modelem kmitání tuhých těles, protože je obvykle dobře řešitelné a lze ho použít i při vyhodnocování sloužitějšího kmitavého pohybu. V modelu harmonického kmitu obvykle předpokládáme koncentraci hmoty řešeného tělesa do jednoho případně více diskrétních bodů (těžiště), kmitavé pohyby v jednotlivých směrech uvažujeme jako na sobě nezávislé (řešíme kmitání v každém směru jako kmitání s jedním stupněm volnosti).

KMITÁNÍ
strana 4.6
Součet jednotlivých energií kmitavého pohybu je neměnný

K vyřešení volných harmonických kmitů s jedním stupněm volnosti obvykle stačí rovnice pro energetické nebo silové rovnováhy. Pro sestavení rovnice energetické rovnováhy musíme nejprve vědět jaké energie se při kmitavém pohybu transformují mezi sebou, přičemž jejich součet musí zůstat v jakékoli fázy kmitu konstantní a roven energetickému obsahu vyšetřovaného systému v čase t=0, tedy E0. Rovnice 5 je rovnice energetické rovnováhy pro případy kmitů zobrazené na Obrázku 1. Mimo kinetické potenciální a energie deformační může kmitavý pohyb ovlivňovat i energie vnitřní tepelná a tlaková, viz Úloha 500.

– 5: –
Příklady energetické rovnováhy kmitavého pohybu
E [J] energie. Index K označuje energii kinetickou, index h energie potenciální od tíhových sil, index el energie od elastických deformací v tělese (energie potřebná k tvarovému přetvoření tělesa).
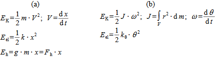
Nalezení vzorců pro vyšetřované druhy energií jako funkce polohy těžiště

Vzorce pro výpočet jednotlivých energií jako funkce polohy lze získat z fyzikálních tabulek (pro základní případy) nebo odvodit z definic jednotlivých energií aplikovaných na vyšetřovaný případ, viz Vzorce 6.

– 6: –
Příklad energetických vzorců
(a) přímočarý posuvný pohyb tělesa (proměnná je vzdálenost na ose-x); (b) rotační pohyb tělesa (proměnná je obvodový úhel-θ).
J [kg·m2] moment setrvačnosti tělesa; V [m·s-1] rychlost; x [m] příslušná proměnná pro daný směr pohybu; ω [rad·s-1] úhlová rychlost.
Řešení diferenciální rovnice kmitavého pohybu pomocí okrajových a počátečních podmínek

Kombinací rovnice energetické rovnováhy vyšetřované kmitající soustavy (např. Rovnice 5) a rovnic pro jednotlivé energie (např. např. Rovnice 6) obvykle získáme obyčejnou diferenciální rovnici. Tuto rovnici je obvykle možné snadno vyřešit pro vybrané okrajové a počáteční podmínky. Například pro případy kmitání kyvadla, pružiny a torzní tyče na Obrázku 1 lze tímto způsobem odvodit Rovnice 7 popisující frekvenci kmitání pro tyto jednoltivé případa.

– 7: –
Příklad sestavení rovnice popisující kmitavý pohyb kyvadla, pružina a torzní tyče.
(a) frekvence kmitání kyvadla; (b) frekvence kmitání pružiny; (c) frekvence torzního kmitání. Výpočet je proveden v Příloze 2.
KMITÁNÍ
strana 4.7
Praktické aplikace základních rovnic harmonického kmitání
Velmi často lze další případy (například složitější konstrukce) redukovat na na jeden ze tři předchozích případů tak, že se vypočítá jejich tuhost (délková či úhlová) následně se dosadí do jedné ze tří Rovnic 7, viz Úloha 1. Navíc kmitání nemusí být založeno na střídavé deformaci tuhých těles jako jsou pružiny a torzní tyče ale kmitání může vyvolat i komprese a expanze tekutiny.
–  Úloha 1:  –
Vypočítejte vlastní harmonické frekvence soustav tvořené konstrukcí a hmotnými tělesy uvedených na obrázku. V případě (a) považujte hmotnost nosníku za nevýznamnou; v případě (b) považujte hmotnost a deformaci v tahu nosníků za nevýznamnou a počítejte periodu pouze bočních kmitů; vpřípadech (c-e) uvažujte pouze namáhaní krutem; v případě (f) jsou pružné pouze pružiny 1 a 2. V případě případu (f) vypočítejte i vlastní frekvenci soustavy, jestliže d1=d2=7,6 cm, J=11,5 kg·m2, G=84 GPa (modul pružnosti ve smyku), r1/r2=0,5. Zadání je inspirováno úlohami v [Tymošenko, 1960].
Řešení úlohy je uvedeno v Příloze 1.
Různé typy konstrukcí s volnými harmonickými kmity
(a) těleso umístěné na nosníku, který se prohýbá; (b) těleso umístěné na konstrukci, která se může pohybovat ve směru osy-x; (c) kotouč připevněný na torzní tyči s proměnlivým průřezem; (d) dva kotouče umístěné na společné torzní tyči; (e) dva kotouče na hřídelích propojené ozubenými koly; (f) měřič výchylek (vibrograf). F0 [N] zatěžující (počáteční) síla; T0 [N·m] zatěžující (počáteční) kroutící moment; I [m4] moment setrvačnosti průřezu daného nosníku.
KMITÁNÍ
strana 4.8
Kritické frekvence konstrukcí
Volné harmonické kmitání konstrukce je obvykle velmi blízko reálným kritickým frekvencím. Kritické frekvence jsou takové frekvence, změn síl působící ve vyšetřoném směru, při kterých bude výchylka neustále při každém cyklu narůstat, až deformace konstrukce dosáhne kritických mezí. To znamená, že konstrukce se poškodí nebo přestane plnit svůj účel. Historie zná mnoho případů selhání konstrukce, tím, že byla zatěžována i velmi malou silou ale s kritickou frekvencí – velmi známé jsou katastrofy zřícení mostů i s oběti na životech.

Volné harmonické kmitání příčných nosníků a rotorů

Speciálním ale velmi frekventovaně řešeným případem volného harmonického kmitání jsou příčné nosníky a rotující hřídele. Tyto problémy jsou v rámci jedné kapitoly, protože výsledné vzorce platí pro oba případy.

Harmonické frekvence příčných nosníků zatížené více břemeny
Jednoduchý případ příčného nosníku zatíženého v jednom místě je už řešen v rámci Úlohy 1 na tomto základě lze odvodit frekvenci volných harmonických kmitů příčného nosníku zatíženého v několika místech. V případech, kdy na konstrukci je více těles byť stejně hmotných záleží jejich vliv na kmitání podle toho, kde se nalézají, respektive na deformaci v daném místě, viz Obrázek 8, přičemž si všimněte, že harmonická frekvence závisí na počtu břemen a jejich hmotnosti, což platí i pro mostní konstrukce.
– 8: –
Příklad sestavení rovnice popisující kmitavý pohyb kyvadla, pružina a torzní tyče.
(a) schéma deformace příčného nosníku zatíženého třema břemeny; (b) rovnice pro harmonické frekvence příčného nosníku zatíženého n-břemeny. Odvození rovnice je provedeno v Příloze 3.
Kritické frekvence hřídelů, respektive Lavalova rotoru
Lze dokázat, že rovnice pro kritickou frekvenci hřídele má stejný tvar jako Rovnice 8 [Tymošenko, 1960, s. 34]. Břemena v takovém případě představují nevývažky podél osy (tzv. Lavalův rotor). To znamená, že těžiště jednotlivých břemen jsou v místě excentricity, viz Obrázek 9. U reálných hřídelí uložených v hydrodynamických ložiscích je ovšem nutné počítat s výrazným vlivem tlumení v ložiskách na výslednou kritickou frekvenci [Gasch and Pfützner, 1980].
KMITÁNÍ
strana 4.9
– 9: –
Schéma hřídele a jeho nevývažek
e [m] excentricita.

Odkazy

ŠKORPÍK, Jiří, 2025, Meze použití materiálů, engineering-sciences.education, Brno, https://transformacni-technologie.cz/meze-pouziti-materialu.html.
GASCH, Robert a PFÜTZNER, Herbert, 1980, Dynamika rotorů, SNTL, Praha.
KRUTINA, Jaroslav, 1973, Sbírka vzorců z pružnosti a pevnosti, Státní nakladatelství technické literatury (SNTL), Praha.
TYMOŠENKO, Stepan, 1960, Kmitání ve strojírenství, Státní nakladatelství technické literatury, Praha.
©Jiří Škorpík, LICENCE