ZÁŘENÍ

–    strana 3    –
–    strana 7    –
–    strana 12    –
 Úloha 1249: Výpočet efektivní ekvivalentní dávky (řešení úlohy je v čl. Radioaktivita)  Úloha 1135: Výpočet snížení energie gama záření po průchodu lidským tělem
–    strana 17    –
–    strana 21    –
 Úloha 1105: Výpočet teploty povrchu černého tělesa ozářeného slunečním zářením
–    strana 26    –
 Úloha 507: Výpočet velikosti a sklonu solárního kolektoru.
–    strana 32    –
–    strana 33-39    –
– e-shop –
Jestliže byl článek pro vás užitečný, pak si kupte plnou verzi článku v mém e-shopu. Velmi vám za to děkuji a přeji, aby se vašim projektům dařilo.

Jiří Škorpík
autor
ZÁŘENÍ
strana 2
– autor: –
ŠKORPÍK, Jiří (LinkedIn.com/in/jiri-skorpik)
– datum vydání: –
Květen 2011; Leden 2019; Duben 2026 (3. vydání+přejmenování z Foton)
– název: –
Záření
– sborník: –
– provenience: –
Brno (Česká republika)

Copyright©Jiří Škorpík, 2011-2026
All rights reserved.

ZÁŘENÍ
strana 3

Záření a ionizující záření

Zářením označujeme tok subatomárních částic ať už nabitých či neutrálních (nukleony a jejich fragmenty a fotony). Zdrojem záření jsou změny v jádrech atomů a elektronových obalech atomů a sloučenin. Jestliže záření má takové vlastnosti, že při průchodu daným prostředí způsobují jaderné reakce (tzv. excitace jader) nebo ionizují elektronové obaly molekul, pak hovoříme o tom, že toto záření je pro dané prostředí ionizující. To znamená, že takové záření, které pouze způsobí ohřev molekul daného prostředí (zvýší kinetickou energii vibrací meziatomových vazeb) není považováno za ionizující. Právě ionizační povaha takového záření umožnila jejich objev, viz Historické poznámky k ionizujícímu záření. Při ozáření se zvyšuje energetický obsah látky daného prostředí a množství pohlcené energie se nazývá dávka záření. Množství částic záření, které dané prostředí pravděpodobně absorbuje při ozařování lze zjistit pomocí veličiny polotloušťka materiálu. Záření při průchodu prostředím ztrácí (předává) svou energii postupně, přičemž závislost její energetické změny na vzdálenosti od vstupu do vyšetřovaného prostředí se nazývá Braggova křivka.

  ~  
Historické poznámky k ionizujícímu záření
Přirozeným ionizujícím zářením je sluneční světlo. Sluneční světlo mění například barvu bílého papíru (fotochemická tvorba fotografie je založena na ionizačních vlastnostech viditelného světla). Sluneční světlo dokáže rozkládat slabé chemické vazby některých léků – proto jsou baleny do tmavých lahviček – také je základem přestavby molekul v rostlinách při fotosyntéze apod. Proto, až do roku 1895, bylo záření spojováno s viditelnosti záření. Toho roku přišel velký zlom ve vnímání záření objevem německého fyzika Wilhelma Conrada Röntgena (1845-1923), který objevil "neviditelné" záření. Přesněji při experimentech se skleněnou výbojkou objevil záření, které dnes označujeme jako gama záření, která má ovšem stejnou podstatu jako sluneční záření neboť se jedná o tok fotonů, ale s mnohem větší energii. Později, v souvislosti s radioaktivními přeměnami, byly objeveny další typy záření, respektive částic radioaktivních přeměn.
ZÁŘENÍ
strana 4
  ~  
Přírodní zdroje záření
Hlavní rozdělení zdrojů záření je na přírodní a umělé. Přírodní může pocházet ze Země i vesmíru. Na zemi probíhají jednak radioaktivní přeměny, ale i běžné chemické procesy. Produkty radioaktivních přeměn může být, podle typu radioaktivní přeměny, α-záření, β-záření a γ-záření, případně protony a neutrony. Běžné chemické přeměny jsou zdrojem fotonového záření zejména v tepelném a viditelném spektru. Přírodním zdrojem je kosmické záření přicházející z okolního vesmíru, které vyzařují hvězdy a jiné aktivní útvary po zhroucení hvězd a naše Slunce. Tento mimozemský zdroj záření objevil Německý fyzik Victor Franz Hess v roce 1912, který pozoroval ionizaci vzduchu, která rostla s nadmořskou výškou. Mezi kosmické záření patří i slabé reliktní záření pocházející z období vzniku vesmíru. Kosmické záření je z drtivé většiny zachyceno elektromagnetickým polem Země a molekulami atmosféry Země, proto je ve vyšších vrstvách atmosféry tolik iontů [Atkins, 2005, s. 25].
Umělé zdroje záření
Umělými zdroji záření jsou chtěné i nechtěné, respektive vedlejší výsledky lidské činnosti. Zaření jako produkty radioaktivních přeměn pochází radionuklidů vzniklých při jaderných reakcí. Speciálním případem je generování neutronového záření pomocí neutronových generátorů na principu jaderné fúze prováděné pomocí srážek rychle pohybujících iontů z malých urychlovačů dopadající na atomová jádra, viz také první experimenty Marka Oliphanta z roku 1934. Takové generátory jsou zdrojem neutronů pro jaderné experimenty, výrobu radionuklidů a dokonce i nedestruktivní materiálovou diagnostiku – zejména svarů. Při umělých chemických reakcí vzniká fotonové záření v tepelném i viditelném spektru. Fotonové záření umí lidstvo generovat i pomocí vysokého napětí, kterým ovlivňuje energetické hladiny elektronů v atomových obalech atomů a sloučenin. Dokonce při specifických napětí lze generovat i β-záření, například na takovém principu fungovaly CRT obrazovky (Cathode Ray Tube), které obsahovaly elektronové dělo. Takový druhy fotonového a β-záření vzniká i v přírodě ve formě blesků.
  ~  
Dávka záření
Prostředí, které pohltí ionizující záření získá energii ε [J], což je energie sdělená látce. Dávka záření je veličinou vyjadřující velikost sdělené energie na 1 kg látky. Jednotkou dávky záření je 1 Gy (Gray), přičemž 1 Gy znamená energii 1 joulu absorbovanou 1 kg látky, viz Vzorec 1285.
– 1285: –
Dávka záření
D [J·kg-1, Gray] dávka záření; ε [J] energie sdělená látce; m [kg] hmotnost látky.
ZÁŘENÍ
strana 5
Dávkový příkon
Rychlost s jakou je energie látce sdělována vyjadřuje dávkový příkon, viz Vzorec 535.
– 535: –
Dávkový příkon
D [Gy·s-1; W·kg-1] dávkový příkon; t [s] čas.
  ~  
Polotloušťka materiálu a Lineární součinitel zeslabení
Fotonové záření proniká hraniční plochou vyšetřovaného tělesa či prostředí o intenzitě I0 (což je množství energie ve formě záření dopadající na m2 plochy [J·m-2]). Tak jak daným prostředím proniká, tak jeho intenzita klesá, protože část energie předává prostředí nebo se odráží mimo vyšetřovaný objem. V případě, průchodu záření deskou s homogenním složením lze v ideálním případě očekávat, že intenzita záření I v okolí souřadnice x poklesne vždy o stejný poměr na stejné délce (Obrázek 1254a). Tento poměr se označuje písmenem μ a označuje jako lineární součinitel zeslabení pomocí něhož lze intenzitu Ix vypočítat, viz Rovnice 1254b. Souřadnici x, při které intenzita záření klesne na polovinu původní hodnoty označujeme jako polotloušťku materiálu d1/2, (Rovnice 1254c).
– 1254: –
Změna intenzity fotonového záření při průchodu deskou
Změna fotonového intenzity záření při průchodu deskou
(a) proud částic záření prochází deskou zleva doprava, přičemž intenzita klesá podle rovnice (b), která se označuje jako Beer-Lambertův zákon. d1/2 [m] polotloušťka materiálu; I [J·m-2] intenzita záření (0-na začátku; d-po průniku deskou); d [m] tloušťka stínění (desky); x [m] ve směru záření; μ [m-1] lineární součinitel zeslabení. Uvedený rozsah energií fotonů pokrývá přibližně spektrum od ultrafialového záření po rentgenové záření. Odvození vzorců je uvedeno v Příloze 1254.
Tloušťka materiálu jako stínění
Po průchodu deskou o tloušťce d poklesne intenzita záření na hodnotu Id<I0, proto se také tato tloušťka označuje jako stínění.
Polotloušťky olova
V Tabulce 1256 jsou uvedeny polotloušťky desek vyrobených z olova pro různé energie fotonového záření.
– 1256: –
E   μ   d1/2 E   μ   d1/2 E   μ   d1/2
59,54   4,205   0,165 661,66   0,141   4,916 1332,9   0,088   7,877
122,06   4,187   0,166 898,04   0,112   6,189    
136,47   3,134   0,221 1173,5   0,093   7,453    
E [keV] energie fotonů; μ [mm-1]; d1/2 [mm]. Pro porovnání: lineární součinitel zeslabení vody pro fotony o energii 140 keV je 0,015 mm-1. Zdroj dat: [Zoul and Sobek, 2025].
ZÁŘENÍ
strana 6
Omezení platnosti rovnice pro polotloušťku materiálu na fotonové záření
Beer-Lambertův zákon lze uplatnit prakticky jen pro fotonové záření, protože energie jednotlivých fotonů je sdělená látce uvnitř desek najednou. Těžké a zvláště nabité částice předávají látce, kterým je prostředí vyplněno svou energii obvykle postupně a někdy i několik možnými způsoby, viz níže. Nejprve se snižuje jejich kinetická energie (odrazy) než dojde k finální interakci.
Zobrazovací metody využívají rozdílné polotloušky k vytvoření kontrastu
Obecně platí, že čím hmotnější částice záření jsou, tím je průnik daným prostředí méně pravděpodobný. Respektive tím pravděpodobněji dojde k jeho interakci s molekulami prostředí. Proto je gamma záření vhodnější pro zobrazovací metody v lékařství než alfa a beta záření, která jsou tělem pohlcována (viz Úloha 1135) a nevytvoří kontrast na výsledném snímku.
  ~  
Průběh poklesu energie částic záření v tělese se nazývá Braggova křivka
Pokles intenzity částicového záření je pro daný materiál nutno měřit či numericky modelovat. Výsledný záznam se označuje jako Braggova křivka – přesněji řečeno sleduje se obdržená dávka daného zářivého proudu v materiálu v závislosti na hloubce, viz Obrázek 1090.
– 1090: –
Braggova křivka pro foton a proton v zasažené tkáni
(a) Braggova křivka pro foton o energii 6 MeV; (b) Braggova křivka pro proton o energii 250 MeV. l [cm] vzdálenost od okraje tkáně; E [%] ztráta energie protonu (absorbovaná energie tkání), ztráta je vztažena k tzv. Braggově vrcholu, což je vzdálenost, na které ztratí částice maximum energie. Zdroj dat: Wikimedia Commons.
Nesoulad dávky a intenzity fotonového záření v Braggově křivce
Na Obrázku 1090b si všimněte, že na okraji prostředí nesouhlasí dávka s poklesem intenzity fotonového záření. To je dáno tím, že u okrajů se intenzita záření snižuje i odrazem ven z prostředí, což je typické pro fotonové záření.
ZÁŘENÍ
strana 7

Druhy interakcí ionizujícího záření s prostředím

Částice záření může s jinou subatomární částici interagovat pohlcením, nebo pružným či nepružným rozptylem. Při pružném rozptylu ani jedna z částic nezaniká a odrazí se od sebe podobně jako v klasické mechanice, přičemž se mění jejich hybnost. Při nepružném rozptylu je částice záření pohlcena částicí prostředí, přičemž na rozdíl od čistého pohlcení dojde okamžitému vyzáření jiné částice. Záření jakožto proud subatomárních částic může podle druhu a energie částice způsobit při interakci s elektronovým obalem molekul změnu jejich chemických vlastností spojenou se ztrátou elektronů z elektronových obalů. Tento jev obecně označujeme jako ionizace. Některé druhy části mohou dokonce pronikat až k samotným atomovým jádrům a interagovat s nimi (excitace) a způsobovat jaderné reakce s tím spojené změny ve struktuře hmoty. Pravděpodobnost očekávaného druhu interakce ve vyšetřovaném objemu se vyhodnocuje pomocí veličiny účinný průřez interakce.

  ~  
Ionizace elektronového obalu a tvorba kationů
Energie elektronů i hybností v elektronovém obalu jsou kvantovány, tj. svůj energetický stav mění skokově, a energie dodaná fotonem musí mít přesně takovou energii, která je potřeba k danému energetickému skoku, v opačném případě k dané interakci nemůže dojít. Například na Obrázku 1186 jsou vyznačeny tzv. první ionizační energie prvků U, respektive se jedná o energii fotonu potřebnou k vyražení prvního elektronu z plně zaplněného elektronového obalu – atomu s chybějícím elektronem v obalu se říká kationt. Dále existuje druhá ionizační energie (která je vyšší) pro vyražení druhého elektronu z obalu atd.
– 1186: –
Porovnání prvních ionizačních energií jednotlivých prvků
Porovnání prvních ionizačních energií jednotlivých prvků: U [eV] ionizační energie prvku. Jedná se o ionizační energie prvků pro případ základního energetického stavu daného atomu (minimální energie elektronů), kterých má každý prvek také několik možných a platí, že se zvyšujícím energetickým stavem atomu klesá ionizační energie.
ZÁŘENÍ
strana 8
Ionizace a disociace molekul
Podobně ionizační energie mají i elektronové obaly chemických sloučenin – v takovém případě vede jejich ionizace k rozpadu neboli disociaci molekuly.
Ionizace látek protonovým zářením za tvorby radikálů
Proton je kladně nabitá částice. To znamená, že může ovlivňovat pohyb a energetický stav elektronů pouze průletem jeho okolím. Proton může způsobit posunutí elektronu na vyšší energetickou hladinu (exitace), nebo úplně vytrhnout z elektronového obalu. Může tedy způsobovat i disociace sloučenin. Navíc zachycený v prostředí může reagovat chemicky s volnými elektrony za tvorby vodíkových atomů jako radikál.
Ionizace látek částicemi beta záření
Prakticky se jedná o stejné mechanismy možných interakcí jako u protonového záření, hlavní rozdíl plyne z toho, že beta částice jsou čtyřikrát hmotnější než proton a mají dvakrát silnější kladný náboj. To vše zvyšuje pravděpodobnost ionizace ve vyšetřovaném prostředí oproti protonovému záření.
Ionizace látek neutronovým zářením
Ionizace elektronového obalu neutronovým zářením je velmi málo pravděpodobný jev (jedná se o pružný rozptyl), protože neutrony mají celkově nulový náboj. Nicméně jeho neutralita plyne z toho, že je složen z protonu i elektronu, takže exituje jistá možnost prosakování slabého kladného náboje v určitém směru a vzdálenosti, což může nějakou interakci s elektronem způsobit.
Ionizace látek v elektrickém poli pomocí fotonového záření
Rozsah spektra fotonů, které může danou ionizovat lze zvětšit, pokud je látka v elektrickém poli s potřebným elektrickým potenciálem. V takovém případě ionizovaný elektron fotonem o vyšší energii než je ionizační opustí elektronový obal, přičemž přebytečná ionizační energie se projeví zvýšením kinetické energie elektronu. Tento jev se nazývá fotoelektrický jev, viz Obrázek 1012. Fotoelektrický jev se využívá při transformaci slunečního záření na elektřinu, viz kapitola Sluneční záření.
– 1012: –
Schéma realizace fotoelektrického jevu
Schéma realizace fotoelektrického jevu
s.t.-skleněná trubice; k-katoda (kovová destička); a-anoda; e.o.-elektrický obvod; V-galvanický článek udržující napětí v elektrickém obvodu; A-ampérmetr – měření proudu v obvodu.
ZÁŘENÍ
strana 9
  ~  
Nepružný rozptyl fotonů v elektronových obalech–Ramanův rozptyl
Jestliže jsou energie elektronu v elektronovém obalu kvantovány, pak to znamená, vzhledem k množství ionizací, které kolem sebe pozorujeme, že foton je schopen sdělit elektronu pouze část své energie, jinak by, vzhledem k různým energiím fotonů, byly ionizace velmi řídké. Rakouský fyzik Adolf Smekal (1895-1959) navrhl, že takový způsob sdílení by se mohl uskutečnňovat pomocí nepružného rozptylu fotonu. To znamená, že elektron pohltí celý foton k dosažení kvantového energetického skoku, s tím, že nadbytečnou energii vyzáří jako nový foton s nižší energií. Nezávisle na Smekalově předpovědi tento jev pozoroval a publikoval v roce 1928 indický vědec Chandrasekhara Venkata Raman (1888-1970), proto se tento jev označuje často jako Ramanův rozptyl. Zásadní části matematického popisu tohoto jevu vypracoval moravský fyzik Georg Placzek (1905-1955). Současně víme, že při Ramanově rozptylu může dojít k opačnému jevu, kdy je vyzářen foton o vyšší energii než původní foton a elektron poklesne do nižší energetické hladiny. Díky tomuto jevu je barva nebe modrá, protože při Ramanově rozptylu viditelného světla v elektronových obalech molekul atmosférických plynů vznikají fotony o energiích blízkých modrému spektru.
Nepružné typy rozptylů elektronu v látce
Pokud jsou splněné jisté podmínky může se stát elektron součásti elektronového obalu a to nejenom v případě kationtů, ale i v případech, kdy elektronový obal je plně obsazen odpovídajícím počtem elektronů. Jestliže přijme elektronový obal elektron navíc, pak se z něho stává aniont (celkově záporný náboj molekuly). Energie, elektronu, která je potřebná k tomu aby vznikly aniont se nazývá elektronová afinita a jedná se o záporné číslo. U některých prvků v základním stavu je elektronová afinita kladná, což znamená, že při příjmu elektronu se uvolní i foton odpovídající této elektronové afinitě. Podobně jako existují tabulky první a druhé a další ionizačních energií prvků, tak existují i tabulky první, druhé elektronové afinity prvků (druhé a vyšší jsou vždy záporné). Nicméně elektron může vyzářit foton i při prudkých srážkách a tedy skokových ztrátách kinetické energie i bez toho, a nichž by se stal součásti nějaké elektronového obalu.
  ~  
Pružný rozptyl elektronu v látce
Elektron vstupující do prostředí může toto prostředí pouze ohřívat pružnými srážkami s molekulami. Při tom může v prostředí zůstat jako volný elektron nebo ho opustit.
ZÁŘENÍ
strana 10
  ~  
Průnik částic záření k atomovým jádrům
Atomová jádra jsou vůči vlivu běžného záření velmi odolná. K jádru se prakticky mohou dostat jen neutrální částice jako neutrony a fotony. Nabité částice pouze pokud jsou urychleny na velmi vysoké rychlosti – pro protony působí odpudivě kladný náboj jádra a elektrony musí překonat odpudivé síly záporného náboje elektronového obalu.
Interakce atomových jader s částicemi záření
Atomová jádra částici záření buď pohltí nebo s nimi reaguje nějakým druhem rozptylu. Každopádně po pohlcení částice se jádro obvykle stává radioizotopem a s dost často velmi krátkým poločasem přeměny a těžká jádra se mohou celá rozpadnou na dvě přibližně stejně hmotná jádra, pak mluvíme o jaderném štěpení. Naopak při vzájemné pohlcení dvou lehkých jader může nastat jaderná fúze a vzniknout stabilní těžší atomové jadro.
Jaderné štěpení
Atomová jádra těžkých prvků lze rozštěpit pomocí fotonu o velmi vysoké energie nebo pomocí neutronu. V každém případě štěpná reakce je výjimečná tím, že dojde-li při štěpení zároveň k uvolnění další neutronů, pak může nastat řetězová štěpná reakce, protože uvolněné neutrony mohou štěpit další štěpitelná jádra v okolí. Jestliže je tato reakce neřízená, pak může dojít až k lavinovitému štěpení, které je spojeno s uvolňováním energie a při velmi vysoké hustotě štěpitelných jader i k jaderné explozi. Při řízené štěpné reakci v jaderných reaktorech lze naopak uvolněnou energii energeticky využívat nebo využívat vznikající záření pro výrobu radioizotopů. Předpokladem jakýkoliv řetězových jaderných reakcí je dostatečná hustota štěpitelných jader a počáteční neutronové záření.
  ~  
Definice účinného průřezu interakce
Částice ionizujícího záření vstupující do vyšetřovaného objemu (prostředí) tedy může v tomto objemu způsobit některou z výše uvedenou událost. Míra potřebných velikostí (plochy) částic prostředí pro vznik vyšetřované iterakce se střelou se nazývá účinný průřez interakce σ (například účinný průřez pro záchyt neutronu apod.). Účinný průřez interakce je součin pravděpodobnosti P, že částici uvnitř terče bude interagovat očekávaným druhem interakce se střelou a velikostí terče 1/Φ (Vzorec 1121 (s. 11)). Tvar terče je kulový (jeho složení odpovídá vyšetřovanému prostředí) a převrácená hodnota velikosti terče se nazývá fluence Φ (Vzorec 1121). Fluence se počítá jako podíl sumy drah, kterou jednotlivé střely o počtu N za sledovanou dobu urazí uvnitř kulového terče (některé jsou pohlceny Ni zbytek proletí) a objemu terče.
ZÁŘENÍ
strana 11
– 1121: –
Účinný průřez interakce
Účinný průřez interakce
σ [m2] účinný průřez interakce; P [-] pravděpodobnost, že částice uvnitř terče bude iteragovat s nějakou střelou mířící k terči; N [-] počet střel směřující na terč ve sledovaném období; Ni [-] počet střel, které způsobí interakci; nj [-] počet (cílových) částic v terči; Φ [m-2] fluence (v případě kruhové terče místo kulového se rvná ploše tohoto kruhu); V [m2] vyšetřovaný objem ve tvaru koule; l délka drah jedné střely prolétávající vyšetřovaný objem.
Fluence při výpočtu účinného průřezu
Výpočet fluence je někdy obtížný a zvláště u tkání diskutabilní, viz Úloha 1135 (s. 16).
Účinný průřez pro zachycení fotonu
Porovnáme-li definici účinného průřezu interakce σ a lineárního součinitele zeslabení μ (Vzorec 1254 (s. 5)), pak je očividné, že lineárního součinitele zeslabení ospovídá součinu účinného průřezu a počtu částic ionizované látky v 1 m3, viz Rovnice 1289.
– 1289: –
Vztah mezi lineárním součinitelem zeslabení a účinný průřez interakce
n [m-3] počet částic schopných interakce s částicemi záření v 1 m3 ozařované látky.
Definice účinného průřezu vznikla za projektu Manhattan
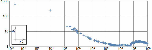
Veličina účinný průřez interakce vznikla v době projektu Manhattan, respektive při vývoji atomové bomby. Vědci v té době hledali parametr, kterým by pokryli vliv velikosti štěpitelného jádra a pravděpodobnosti, že při zachycení neutronu tímto jádrem dojde ke štěpení. Současně zavedli jednotku účinného průřezu barn, přičemž 1 barn odpovídá hodnotě 10-28 m2, což je hodnota, která odpovídá účinnému průřezu 235U pro štěpení neutronem o vysoké energii, viz Obrázek 1122.
– 1122: –
Účinný průřez 235U pro štěpení neutronem
Účinný průřez 235U pro zachycení a štěpení neutronem: σf [barn] účinný průřez 235U pro štěpení (fission cross section); En [eV] energie neutronu (první hodnota 0,253·10-1 je energie tzv. termického neutronu, který je v kinetické rovnováze s okolními molekulami a výrazně klesá fluence). Zdroje dat International Atomic Energy Agency - Nuclear Data Section.
ZÁŘENÍ
strana 12
Sčítání účinných průřezů
Účinné průřezy pro jednotlivé typy interakcí je možné sčítat, pokud očekáváme, kteroukoliv z nich. Například foton v prolétávající prostředím s ním může interagovat různými způsoby, viz výše. Takže celkový účinný průřez interakce bude součtem dílčích účinných průřezů pro jednotlivé typy interakcí.

Účinky ionizujícího záření na lidský organismus

Dávka ionizujícího záření představuje pro lidské tělo zdravotní riziko. Ionizující záření na úrovni jednotlivých částic může způsobit různé úrovně poškození buňky i její smrt. Při abnormálně vysokých dávkách (získaných například v důsledku blízkých výkonných jaderných událostí) se projevuje i samotné zvýšení energie lidského těla popáleninami a nebo dokonce i odpařením celého těla. Nicméně existují i případy, kdy ionizující záření má i léčebné účinky. Veličina, pomocí které určujeme biologické účinky a rizika spojené s obdrženou dávkou se nazývá efektivní ekvivalentní dávka.

  ~  
Definice efektivní ekvivalentní dávky lidského těla
Biologický účinek radiační dávky závisí na druhu zasaženého organismu (tkáně) a na druhu záření. Pro vyhodnocení účinků záření na lidský organismus byla zavedena porovnávací veličina zvaná efektivní ekvivalentní dávka H (též efektivní dávkový ekvivalent). Efektivní ekvivalentní dávka je taková dávka D od fotonového záření, která by způsobila stejnou pravděpodobnost úmrtí jako skutečně obdržená dávka od jednotlivých druhů záření na jednotlivé druhy lidské tkáně. Efektivní ekvivalentní dávka má fyzikálně stejnou jednotku jako dávka [J·kg-1], ale aby se zdůraznilo, že se jedná o ekvivalent k fyzikální dávce, tak se používá jednotka 1 Sievert [Sv; J·kg-1].
Příklad výpočtu efektivní ekvivalentní dávky lidského těla
Jestliže by všechny tkáně obdržely stejnou dávku záření D, tak se jednotlivé tkáně na výsledných účincích podílejí různou vahou. Například ve 12 % případech onemocní žaludek a způsobí smrt a jen v 1 % onemocní kůže při stejné obdržené dávce atp. Tyto statistické hodnoty pro jednotlivé tkáně lidského těla se označují jako tkáňový váhový faktor wT a jejich součet musí být 100 %, viz Tabulka 1089 (s. 13). Navíc různé účinky při stejné dávce mají i různé druhy záření. Například protonové záření o stejné dávce jako fotonové záření má dvakrát větší pravděpodobnost smrtelného poškození jednotlivých tkání. Tento poměr mezi pravděpodobnostmi poškození se nazývá radiační váhové faktor wR, viz Tabulka 1251 (s. 13). To znamená, že v tomto případě by byla efektivní ekvivalentní dávka rovna součtu efektivních ekvivalentních dávek jednotlivých tkání HT, viz Vzorce 1250a (s. 13). Po dosazení, a s tím, že součet tkáňových váhových faktorů wT je roven 1, získáme Vzorce 1250b (s. 13).
ZÁŘENÍ
strana 13
– 1089: –
Tkáňové váhové faktory podle ICRP 103
tkáň, orgán   wT tkáň, orgán   wT tkáň, orgán   wT
červená kostní dřeň   0,12 gonády   0,08 povrch kostí   0,01
tlusté střevo   0,12 močový měchýř   0,04 mozek   0,01
plíce   0,12 jícen   0,04 slinné žlázy   0,01
žaludek   0,12 játra   0,04 kůže   0,01
mléčná žláza   0,12 štítná žláza   0,04 zbytek tkání   0,12
      1
wT [-] tkáňový váhový faktor daného orgánu (Tissue weighting factor). ICRP–International commission on radiological protection. Zbytek tkání představuje: nadledvinky, horní cesty dýchací (Extrathoracic Region – ET), žlučník, srdce, ledviny, lymfatické uzliny, svalstvo, sliznice dutiny ústní, slinivka, prostata, tenké střevo, slezina, brzlík, děloha/hrdlo. [Valentin et al., 2007, s. 65]
– 1251: –
druh záření wR druh záření wR
fotony a elektrony všech energií 1 neutrony 3 keV-1 MeV 2,5-20
protony všech energií 2 neutrony 1 MeV-3 GeV 20-2,5
neutrony 1 eV-3 keV; <3 GeV 2,5 α záření 20
Radiační váhové faktory: wR [1]. [Valentin et al., 2007, s. 64].
– 1250: –
Ekvivalentní dávka
H [Sv] efektivní ekvivalentní dávka (lidské tělo obdrželo dávku rovnoměrně); HT [Sv] ekvivalentní dávka konkrétní tkáně v lidského těla (equivalent dose); wR [1] radiační váhový faktor, viz Tabulka 1251; wT [-] tkáňový váhový faktor (Tissue weighting factor). T-označení pro danou tkáň lidského těla; R-označuje jednotlivé druhy ionizujícího záření
Obecný vzorec pro výpočet efektivní ekvivalentní dávky lidského těla
V případě, že dávky od jednotlivých druhů záření nejsou rovnoměrně rozloženy na tkáně v lidském těle (označení pro každou dávku od jednotlivých druhů záření na tkáň je DT,R) je nutné vypočítat ekvivalentní dávky pro každý orgán zvlášť a ty sečíst viz Vzorce 1250c.
  ~  
Obecné biologické účinky ionizačního záření na lidské tělo podle obdržené ekvivalentní dávky
Navenek se může projevit obdržená dávka ionizujícího záření jako bezprostřední nemoc z ozáření (popáleniny, nevolnost atd.), pak hovoříme o tzv. deterministických účincích. Nebo za velmi dlouhou dobu, to znamená, že po ozáření je člověk naprosto zdravý, ale například po letech se u sledované skupiny osob zvýší některé druhy onkologických onemocnění nebo se nějaké zvýšený výskyt těchto onemocnění projeví až u další generace, pak hovoříme o tzv. stochastických účincích.
ZÁŘENÍ
strana 14
Deterministické biologické účinky začínají od prahové efektivních ekvivalentní dávky
Na základě dlouhodobých pozorování účinků ionizujícího záření na lidský organismus lze stanovit oblast deterministických účinků. První případy deterministických účinků se objevují při ozáření kolem hodnot 100 mSv u 1-5 % ozářených osob. Tuto oblast nazýváme prahová ekvivalentní dávka, odtud pravděpodobnost výskytu deterministických účinků a úmrtí na ně s efektivní ekvivalentní dávkou roste, viz Obrázek 1284. Samozřejmě i po účinné léčbě deterministických účinků a při ozáření dávkou menší než je prahová ekvivalentní dávka se mohou dostavit stochastické účinky.
– 1284: –
Odezva lidského organismu na ozáření
Odezva lidského organismu na ozáření: P [%] pravděpodobnost deterministických účinků (nemoci z ozáření); H [Sv] efektivní ekvivalentní dávka. Toto je graf pro případ, že je ekvivalentní dávka rovnoměrně rozložená na celé tělo. Podrobnější popis například v [Hála, 1998, s. 145].
Stochastické biologické účinky
Pro křivku pravděpodobnosti výskytu stochastických účinků chybí dostatečné množství dat, ale konzervativně se předpokládá jejich lineární růst z nuly. Například u osob, které přežily jaderný výbuch v Hirošimě byl po dobu 25 let od výbuchu zvýšený výskyt leukémie o 0,57 případů na 1 milion obyvatel na každou 10 mSv získanou ekvivalentní dávku oproti přírodnímu pozadí [Hála, 1998, s. 150], kdy přirozeně onemocní leukemií 1720 osob z 1 milionu. Pro představu v ČR je přirozená denní efektivní dávka 9-10 μSv (3,2 mSv/rok), rentgen zubů max 5 μSv, ale irigoskopie (vpíchnutí radioaktivní látky) až 7 mSv a CT vyšetření až 10 mSv. Umělé zdroje (včetně jaderných zařízení) přispívají ročně jen zcela minimálně asi 0,01 mSv.
ZÁŘENÍ
strana 15
Odezva organismu na biologické účinky ionizačního záření
Ionizační záření může působit na úrovni buněk, sloučenin a atomů v lidském těle. Ve výsledku záření způsobí smrt buňky, nebo výrazně změny jejího chování změnou její molekuly DNA (mutace DNA), případně způsobí jiné poškození, které je buňka schopna opravit. Odumírání buněk je přirozený proces a tělo se jich dokáže zbavit a většinu nahradit při regeneraci pomocí kmenových buněk. Buňky, které změní svoji DNA natolik, že jsou rozpoznány imunitním sytémem za cízí objekty, jsou tímto systémem zničeny. Nejvíce nebezpečné jsou buňky s malými změnami DNA, které nemůže imunitní systém označit jako cizí tělesa, přestože jejich mutace DNA může vést na jejich chybné chování (mohou vytvářet i toxiny) a méně často k nekontrolovatelnému bujení, neboli k rakovině. Přičemž stochastické účinky mají pravděpodobně původ na počátku nevýznamným poškození DNA některých buněk, které se může zhoršit náhodným zachycením ionizujících částic z přírodního pozadí.
Vliv frakcionace dávky na výsledné biologické účinky
Schopnost regenerace prakticky znamená, že při určité dávce je poškození organismu menší, je-li dávka buď rozprostřena rovnoměrně na delší dobu, nebo rozdělena na několik menších dávek s časovými prodlevami mezi nimi (frakcionace dávky), tak aby zasažená tkáň regenerovala rychleji než odumírala. Zpravidla platí, že buňky, které se nedělí (nerozmnožují) nebo se dělí pomalu jsou odolnější, než buňky, které se dělí rychleji (vlasy) – přesněji pravděpodobnost, že se mutace rozšíří je u buněk s nižší frekvencí dělení menší.
Popis akutních biologických účinků ionizujícího záření na lidský organismus (Akutní nemoc z ozáření)
Při efektivní ekvivalentní dávce 1 až 2 Sv nastává akutní nemoc z ozáření (závisí na individuální odolnosti). Následuje několik fází onemocnění (nevolnost, skleslost, bolesti hlavy, zvracení a různé závažné změny v krevním obrazu podle stupně ozáření). Poté následuje latence a poté padání vlasů, silná vnímavost vůči infekcím. Při ozáření ekvivalentní dávkou 6 Sv převládá hematologická (hematologické změny tj. změny v krvetvorbě jsou popsány v [Garlík, 2012, s. 691]) forma nemoci pravděpodobnost přežití 20 %, při 10 Sv pravděpodobnost přežití se blíží k 0 %. Ozáření ekvivalentní dávkou 50 Sv způsobuje nervovou formu nemoci projevující se psychickou dezorientací a zmateností, křečemi a bezvědomím. Během několika hodin až dnů nastává smrt v důsledku oběhového kolapsu, zástavy dýchání a poruch mozku.
ZÁŘENÍ
strana 16
– Úloha 1135: –
Muži o hmotnosti 85 kg byl nitrožilně aplikován jaderný izomer technecium 99mTc za účelem vyšetření kostí. Samotné vyšetření kamerou zachytávající gama záření proběhlo za 2 hodiny po aplikaci. (a) Vypočítejte aktivitu v okamžiku vyšetření, jestliže v okamžiku aplikace byla aktivita obdrženého technecia 803 MBq. (b) Vypočítejte podíl předané energie gama záření tělu, jestliže během působení technécia obdržel tento muž efektivní ekvivalentní dávku o hodnotě přibližně 4,6 mSv. (c) Diskutujte vliv tohoto vyšetření na stochastické účinky vzniku leukemie u tohoto pacienta? Přičemž vycházejte z toho, že jádro 99mTc se deexcituje na radioizotop 99Tc s poločasem přeměny 6,0058 hodin, samotný radioizotop 99Tc má poločas přeměny 2,111×105 let.
Řešení úlohy je uvedeno v Příloze 1135.
  ~  
Léčebnými účinky se zabývá radiační onkologie
I když má ionizující záření na organismus (lidský) negativní vliv, tak ho lze využít k ničení nádorových buněk, čímž se zabývá obor zvaný radiační onkologie. Princip léčby je založen přibližně na 4 různých principech účinků ionizujícího záření na tkáně a popsané jsou v [Hála, 1998, s. 152].
Plošné ozařování léčených tkání
Nejrozšířenější je léčba založena na plošném ozařování tkáně a předpokladu, že nádorové buňky se množí rychleji než buňky zdravé tkáně a tudíž jsou citlivější na ozařování a současně původní tkáň má schopnost regenerace.
Princip protonové léčby
Druhý nejrozšířenější způsob se používá u pomalu rostoucích nádorů spočívá ve využití faktu, že protonová částice předává tkáni energii postupně (odrazy) podle Braggovy křivky (Obrázek 1090 (s. 6)), přičemž většinu energie předá pouze v oblasti vrcholu křivky. To znamená, že v případě lokálního nádoru lze většinu energie soustředit jen na něj a tkáň za ním nebude vůbec ozářena a před ním daleko méně než při plošném ozařování buněk. Parametry Braggovy křivky lze navíc měnit podle potřeby pomocí počáteční energie protonu, kterou je možno měnit v urychlovači díky tomu, že je to nabitá částice. Například při 180 MeV je dosah (konec křivky) ve tkání 15 cm [Hála, 1998, s. 154].
ZÁŘENÍ
strana 17

Fotonové záření

Fotonové záření je všudypřítomné a pro život nezbytné záření, proto se o něm zmíním více. Naopak s jinými druhy záření se setkáváme prakticky jen lokálně v radioaktivním prostředí nebo při umělých jaderných reakcí. Fotonové záření je proud částic zvané fotony, které jsou nejrychlejší známé částice a ve vakuu se pohybují rychlostí světla. Vlastnosti fotonového záření se mění ve velkém rozsahu a záleží na energii fotonů, takže rozlišujeme několik základních druhů fotonového záření. Mezi ty nejdůležitější patří Sluneční záření v tepelném a viditelném spektru.

Foton jako částice s hmotností a hybností
Fotony jsou energetické částice, které nemají klidovou hmotnost, respektive při interakcích mají vlastnosti hmotných částic o hmotnosti odpovídající jejich energetickému obsahu podle slavné Einsteinovy Rovnice 1010a, která říká, že energetický obsah tělesa E zvyšuje i jeho hmotnost o Δm. Jelikož hybnost částice p odpovídá jeho součinu hmotnosti a rychlosti, pak lze pro hybnost fotonu mf pohybující se rychlostí světla c psát Vzorec 1010b. Rovnice lze lze odvodit z rovnice mechaniky rychle se pohybujících těles [Peierls, 1963, s. 135]. Tuto hypotézu
– 1010: –
Hmotnost a hybnost fotonu
(a) rovnice přírůstku hmotnosti jakékoliv částice o její energetický obsah; (b) hybnost fotonu; p [N·s] hybnost fotonu; E [J] energie; mf [kg] hmotnost fotonu; c [m·s-1] rychlost světla ve vakuu (299 792 459 m·s-1).
Experimenty Arthura Comptona potvrzující hybnost fotonů–pružný rozptyl fotonů
Hybnost a fotonů potvrdil potvrdily experimenty amerického fyzika Arthura H. Comptona (1892-1962) z roku 1923. Compton svými pokusy dokázal, že foton při odrazech od subatomárních částic část své energie předá a zároveň se sníží i jeho energie–například tzv. pružný rozptyl fotonů o volné elektrony. Tento efekt platí i naopak. Mimo jiné zjistil, že při srážce fotonu s částicí, při kterém dojde k předání energie se foton od původního směru odklání, takže tím dokázal, že foton má i hybnost. Mimo jiné hybnost fotonu, respektive schopnost předávat energie změnou hybnosti, se považuje za důkaz částicové povahy fotonu.
Energetická spektra fotonů určují jeho interakce s okolím
Na energii fotonů závisí jaké druhy interakcí fotonové záření s částicemi prostředí může nastat, a tedy energie fotonů ovlivňují i jeho pronikavost daným prostředím, respektive polotloušťku materiálu, kterým prostupuje, viz Obrázek 249 (s. 18).
ZÁŘENÍ
strana 18
– 249: –
Rozdělení známého elektromagnetického záření do spektrálních oborů a prostupnost jednotlivých vlnových délek vrstvami atmosféry Země.
Rozdělení známého elektromagnetického záření do spektrálních oborů a prostupnost jednotlivých vlnových délek vrstvami atmosféry Země: DV-dlouhé vlny; SV-střední vlny; VKV-krátké a velmi krátké vlny; HV-Hertzovy vlny; UVM-ultrakrátké vlny mikrovlny; TZ-tepelné záření (sálaní); IR-infračervené záření (1800); UV-ultrafialové záření (1801); MX-měkké paprsky X (rentgenové-1895); TX-tvrdé paprsky X; Mγ-měkké záření-γ (gamma); Tγ-tvrdé záření γ; EMSKP-elektromagnetická složka kosmických paprsků (ultragama); V-viditelné (visible). E [eV]. Šrafováním je vyznačena propustnost zemské atmosféry v různých výškách nad povrchem. Vyšší vlnové délky byly objeveny až ve 20. století. Stupnice energií je logaritmická.
Zviditelnění fotonového záření v energetickém spektru v našem mozku
Fotonové záření je výjimečné v mnoha ohledech jednak je to záření zprostředkující přenos energie mezi sluncem a zemí (viz níže Sluneční záření ve viditelném spektru), jednak má v jistém energetickém spektru (1,6140 eV – 3,1238 eV, viz Obrázek 249) odpovídající viditelnému spektru neuvěřitelně různou odrazivost nebo pohltivostí pro jednotlivé energie. Takže nějaký povrch, který pohlcuje všechny fotony kromě fotonů energie odpovídají zelenému světlu se jeví pro člověka zelený. Lidské oči jsou totiž schopny v oblasti viditelného spektra fotonové záření zachytit a zprostředkovat nám informace o jejich energii směru a intenzitě. Tyto informace náš mozek zpracovává ve výsledný barevný obraz prostředí kolem nás. Člověk je schopen vnímat ještě záření menších energií jako teplo, respektive tepelné záření. Naopak větší energie než odpovídají fotony viditelného světla mohou být pro lidský organismus už škodlivé, viz kapitola Účinky ionizujícího záření na lidský organismus.
ZÁŘENÍ
strana 19
Existence fotonu jako kvantový děj
Foton, respektive jako úsek reality, od jeho vzniku po jeho pohlcení je kvantový děj. U kvantového děje známe příčiny vzniku i jeho konce (u fotonu to je například jeho emise při přechodu elektronu v obalu atomu na nižší energetickou úroveň, při absorpcí děj opačný), ale nejsme schopni nijak sledovat či přesně popsat, co se děje mezi tím (jeho okamžitá poloha je neurčitá). Jsme schopni popsat jen pravděpodobnosti různých stavů mezi počátkem a koncem. Například, je-li zdrojem fotonu konkrétní atom a příjemcem atom jiný v nějaké vzdálenosti, pak je jasné, že foton musí tuto vzdálenost překonat, přičemž jsem schopni pouze spočítat pole pravděpodobnosti cest fotonu mezi těmito atomy (někdy se používají pojmy jako kvantové pole hybnosti a energie).
Pole pravděpodobnosti fotonu
Pole pravděpodobnosti pro foton mezi místem emitace a možným místem pohlcení se počítá pomocí funkce pravděpodobnosti ψ=f(x; y; z) (hodnota pravděpodobnosti je druhou mocninou ψ). Funkce pravděpodobnosti je součtem funkcí pravděpodobností pro jednotlivé možné trasy fotonu mezi vyšetřovány body, přičemž pro jednotlivé trasy je funkce pravděpodobnosti základní vlnovou funkcí (Obrázek 1180a (s. 20)). To znamená, že v uzlových bodech funkce, které jsou od sebe vzdáleny λ/2, je hodnota pravděpodobnosti nulová.
Dopady kvantové povahy fotonu na rozmístění jeho absorpce
Na Obrázku 1180b (s. 20) je popsán jeden z dopadů kvantové povahy fotonu: mějme monochromatický zdroj fotonů (vyzařuje fotony o stejných energií), který je uzavřen v duté kouli s malým kruhovým otvorem-H. Ať se děje v kouli s fotony cokoliv, tak fotony, které se z koule dostanou musí proletět otvorem-H (otvor jako zdroj fotonů). Proto, zde můžeme umístit počátek osy funkce pravděpodobnosti. Jestli nějaké fotony budou dopad na střed stínítka, rozhodne vzdálnost stínítka od otvoru. Například vzdálenost l(c) je takové, že pravděpodobnost dopadu fotonu do středu je nulová, respektive pravděpodobnost zachycení fotonů na paprsku f1 bude velmi nízká. Fotony, které pronikají otvorem se musí odklonit od osy o nějaký úhel α–tím se dráha prodlouží na paprsek f2 a pravděpodobnost zachycení fotonů stínítkem na tomto paprsku (proletí-li foton otvorem, nemůže zmizet, musí se jeho dráha lomit). Tomuto odklonu se říká lom fotonů (světla). Pro každý úhel lomu je jiná dráha a tím na stínítku-S vzniká charakteristický soustředný obrazec oblastí s vyšším a nižším výskytem fotonů (Obrázek 1180c (s. 20)). Posuneme-li ale stínítko o vzdálenost takovou, aby v této vzdálenosti vycházela maximální hodnota funkce pravděpodobnosti, pak se obrazec změní (Obrázek 1180d (s. 20)).
ZÁŘENÍ
strana 20
– 1180: –
Lom paprsků fotonů.
λ [m] vlnová délka; ψ [1] hodnota funkce pravděpodobnosti; l [m] vzdálenost.
Podstata pole pravděpodobnosti a kvantové vlastnosti fotonů
Foton je částice schopná pružného rozptylu, čili se jedná o částici a lomu paprsků o úhel α jeho drah musí dojít již v místě otvoru (zdroje). To znamená, že funkce pravděpodobnosti pro daný foton je určena, jenže k jejímu stanovení musíme znát vzdálenost stínítka od otvoru. Zde se používá interpretace, že foton prochází všechny možné trasy současně (kvantový skok) a dokonce jednotlivé funkce pravděpodobnosti, pokud se kříží se sčítají – tím vznikne pole pravděpodobnosti interakce fotonů a jedna z nich se realizuje. Říkáme, že foton interferuje sám se sebou. To lze dokázat například dvoušterbinovým experimentem. To je také důvod, že uvedené obrazce vzniknou jen v určitém intervalu vzdáleností od stínítka-S od otvoru-H. Jestliže je stínítko příliš daleko, tak úhel α pro jednotlivé paprsky je příliš malý, paprsky se chovají jako paralelní se vzájemnou možnou interferencí a charakteristické soustřední kruhy vzniknou až dále od středu (střed je stále černý), kde dochází k interferenci jednotlivých možných tras. Například světlo hvězd, i kdyby bylo monochromatické, tak na celé stínítko bude dopad stejně pravděpodobný, i když se jeví jako bod, protože hvězda je příliš daleko.
Využití lomu fotonů v optice
Uvedený princip lomu se využívá v optice, protože pomocí něj lze koncentrovat fotony v ohnisku nebo naopak rozptylovat. Velmi významný je pro měření vlastnosti částic optický jev zvaný disperze. Disperzí svazků fotonů se zabývá obor spektroskopie. Disperze je uspořádaný rozptyl (rozklad) svazků fotonů podle jejich vlnových délek, takže po dopadu takto rozložených paprsků lze přesně sledovat zastoupení jednotlivých vlnových délek ve svazku (vytvoří se tzv. čárové spektrum záření). Tímto způsobem lze zaznamenat změny vlnových délek po průchodů nějakou zkoumanou látkou apod. [Peierls, 1963, s. 165].
Stanovení vlnové délky fotonu pomocí Planckovy rovnice
Vlnovou délku fotonu lze určit z jeho energie E. Německý fyzik Max Planck (1858-1947), aby určil energii fotonu výpočtem, vyslovil hypotézu, že energie fotonu je lineární závislostí jeho vlnové délky λ, přičemž se směrnici přímky h dnes nazýváme Planckovou konstantou, viz Rovnice 740 (s. 21).
ZÁŘENÍ
strana 21
– 740: –
Vlnová délka.
h [J·s] Planckova konstanta (tzv. elementární účinkové kvantum energie, což je energie fotonu o vlnové délce stejné jako vzdálenost, kterou foton urazí za 1 s); f [s-1] frekvence fotonu; λ [m] vlnová délka fotonu o energie E.
Pole pravděpodobnosti u hmotných kvant
Stejné způsob šíření v prostoru jako fotonu mají i subatomární částice s klidovou hmotností jako jsou protony, neutrony a elektrony.
Tajemství pravděpodobnosti v poli pravděpodobnosti
Pole pravděpodobnosti je jedinou kvantitativní veličinou, kterou lze určit jak dopadnou kvantové jevy. To je rozdíl od jiných pravděpodobných událostí, jako například pravděpodobnost nehody, pravděpodobnost vylosování míčku ve slosování apod. Tyto pravděpodobnosti jsou pouze kvazi pravděpodobnosti, protože jaký míček vylosujeme by šlo teoreticky vypočítat podle dokonalých údajů z počátku, průběhu a konce míchání míčků. Důvod jakou cestou se foton nakonec realizoval nejsme schopni určit. Odtud slavná odpověď Alberta Einsteina v dopise, který psal jako reakci na článek Maxe Borna o kvantové mechanice:.."Jsem v každém případě přesvědčen, že On v kostky nehraje".

Tepelné záření

Většina látek emitují fotonové záření o vlnové délce odpovídající jejich teplotě [Hottel and Sarofim, 1979] – tepelné záření neemitují plyny nebo plazma, ale mohou ho vyzařovat z jiných příčin, například pokud jsou v excitovaném stavu po chemické reakci apod). Zdrojem tohoto záření je dynamický (tepelný) pohyb nabitých částic tělesa, proto název tepelné záření či sálání. Tento tepelný pohyb se zářením snižuje (těleso chladne) pokud nepřijímá z okolí záření od jiných těles (tzv. tepelná absorpce) nebo jinou energii, která by těleso opět zahřívala–ovšem ne všechny dopadající fotony tělesa pohlcují, to záleží na celkové bilanci dopadajícího fotonového záření. Těleso, které nesálá by mělo teplotu absolutní nuly [Asimov, 1978, s. 6]. Dokonce i černé díry sálají.

  ~  
Absolutní nula
Při chladnutí ustává tepelný pohyb částic v tělese až se při jisté teplotě úplně zastaví. Tato teplota se nazývá teplota absolutní nuly -273,15 °C [Chown, 2010, s. 161] a nezávisí na složení tělesa. Současně se jedná o nejnižší možnou teplotu.
ZÁŘENÍ
strana 22
  ~  
Sálání těles

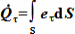
Pevné látky emitují fotonové záření svým povrchem, tekutiny celým svým objemem. V technické praxi se s problematikou sálaní setkáváme při přenosu tepla, kdy hledáme a počítáme sálavý výkon teplých těles, viz Rovnice 743. Mimo sdílení tepla sáláním ale existují ještě dva mechanismy sdílení tepla, a to sdílení tepla vedením a konvekcí.

– 743: –
Sálavý výkon tělesa
Tepelný výkon záření vyzařovaný z povrchu tělesa.
Q·τ [W] sálavý výkon; eτ [W·m-2] intenzita vyzařování z povrchu tělesa v důsledku tepelného pohybu částic (tepelný výkon vztažený na jednotku plochy, těleso může mít na povrchu proměnnou intenzitou podle toho, jak se teplota jeho povrchu mění se souřadnicí); S [m2] povrch tělesa.
Sálaní černého tělesa podle Planckova vyzařovacího zákona
Přímý výpočet intenzity vyzařování reálných těles eτ je prakticky nemožný, protože obvykle neznáme rozložení fotonů podle jejich energie. I když obvykle většina fotonů má energie vzájemně blízké. Proto se při výpočtu vychází z podobnosti reálného tělesa s černým tělesem. Černé těleso nebo černý zářič je ideální těleso, které pohlcuje veškeré záření dopadající na jeho povrch a současně dosahuje maximální možné intenzity vyzařování ze svého povrchu, které způsobuje teplo v tělese, tj. vyzařování nezávisí na jeho složení a spektru dopadajícího záření, viz Obrázek 250. Rovnici pro výpočet intenzity fotonového záření černého tělesa připadající na fotony o jednotlivých vlnových délkách odvodil Planck, a proto se ji také říká Planckův vyzařovací zákon. Všimněte si, že rovnice odvozená na základě kvantové teorie vyzařování očekává nerovnoměrné rozložení energie fotonů, i když těleso má na povrchu stejnou teplotu.
– 250: –
Planckův vyzařovací zákon a celková intenzita vyzařování černého tělesa.
ZÁŘENÍ
strana 23
eτ0λ [kW·m-2·μm-1] intenzita sálaní černého tělesa (proto index-0) připadající na fotony o vlnové délce λ [μm] (tomuto rozložení se také říká monochromatická zářivost); eτ0 [kW·m-2] intenzita záření černého tělesa; σ0 [W·m-2·K-4] konstanta sálání černého tělesa (Stefan–Boltzmannova konstanta); T [K] absolutní teplota povrchu tělesa. Intenzita vyzařování černého tělesa eτ0 je integrací rovnice eτ0λ. Jedná se o součet energií vyzařovaných tělesem na všech vlnových délkách. Výsledný vztah pro eτ0 je nazýván Stefan–Boltzmannův zákon. Odvození Planckova vyzařovacího zákona je uvedeno například v [Horák and Krupka, 1976, s. 842], Stefan–Boltzmannova zákona v [Hottel and Sarofim, 1979, s. 40].
Spektrum sálaní černých těles podle teploty
Černé těleso o teplotě povrchu 600 K vyzařuje většinu fotonů o vlnové délce cca 5 μm, a téměř žádné ve viditelném rozmezí. Při 700 K je většina vyzařované energie menší vlnové délky a v tmavé místnosti by povrch tělesa měl již tmavou červeň. Při teplotě 2000 K už povrch velmi jasně září a při 5770 K se objevuje maximum vyzařované energie tělesa uprostřed oblasti viditelného světla–jedná se i o teplotu povrchu Slunce. Černá tělesa se v přírodě nevyskytují, nejvíce se jim asi blíží Slunce, respektive hvězdy.
Sálání reálných a šedých těles
Reálná tělesa jsou horším zářičem než černá a nemají tak spojité rozložení zářivosti jako černá tělesa (viz Obrázek 741c) ale víme, že jejich intenzita vyzařování při stejné teplotě je menší. Intenzitu vyzařování reálného tělesa není jednoduché exaktně určit, proto se reálná tělesa nahrazují šedými tělesy o stejné teplotě povrchu, ale poměrným rozložením intenzity vůči černému tělesu, viz Obrázek 741b. Uvedený poměr intenzity vyzařování šedého tělesa eτ ku intenzitě vyzařování černého tělesa eτ0 o stejné teplotě se nazývá poměrná zářivost nebo také emisivita ε, viz Rovnice 741.
– 741: –
Rozložení zářivosti reálného tělesa do konkrétních vlnových délek a jeho nahrazení šedým tělesem.
a-rozložení zářivosti černého tělesa jehož teplota povrchu je 1000 K; b-příklad rozložení zářivosti reálného tělesa o teplotě 1000 K; c-rozložení zářivosti šedého tělesa při stejné teplotě o poměrné zářivosti ε=0,6. ε [1] poměrná zářivost. eτ0λ [kW·m-2·μm-1]; λ [μm].
ZÁŘENÍ
strana 24
Omezení použití Stefan–Boltzmannova zákona při výpočtu sálání reálných těles
Rovnici Stefan–Boltzmannova zákona lze tedy aplikovat na černé a šedé zářiče. S dostatečnou přesností také pro pevná reálná tělesa s výjimkou některých kovů, u nichž je vyzařovaná energie vyšší než odpovídá čtvrté mocnině teploty povrchu a při technických výpočtech se vychází z experimentálně naměřených dat [Hottel and Sarofim, 1979, s. 89]. Tyto odchylky od teorie jsou tím větší, čím více se blíží frekvence tepelného záření frekvenci srážek volných elektronů v krystalické mřížce. Jsou-li však částice v energeticky nerovnovážném stavu s teplotou tělesa může těleso, v určitých částech spektra, vyzařovat mnohokrát větší energii (například díky předchozí chemické reakci uvnitř těles) než odpovídá záření černého tělesa při stejné teplotě (záření světlušky, elektrická luminiscence plynů, rádiové vysílače a pod...).
  ~  
Absorpce fotonů tělesy
Pevné látky i kapaliny mohou absorbovat široké spektrum fotonů. Pokud je pohlcené záření přeměněno na vnitřní tepelnou energii tělesa (zvýší se teplota tělesa), pak hovoříme o tzv. tepelné absorpci, ale jsou možné i jiné interakce pohlceného fotonu s molekulami tělesa. Některá spektra fotonů mohou absorbovat i plyny, ale tam obvykle následuje ionizace molekul plynů, dost často formou nepružného rozptylu fotonů. Některé molekuly plynu jsou schopny i vnitřně vibrovat a tak se fotonovým zářením ohřívat, například molekul CO2.
  ~  
Bilance dopadajících fotonů na tělesa
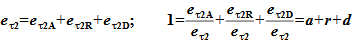
Na tělesa dopadají fotony o různých vlnových délkách od okolních těles a z okolního prostoru o celkové intenzitě záření eτ2, část nebo všechna energie takového záření je buď tělesem pohlcena eτ2A, odražena eτ2R a nebo tělesem prostoupí eτ2D, viz Rovnice 739. Přičemž součet vyzářené energie a odražené energie tělesa se nazývá efektivní sálavost tělesa.
– 739: –
Bilance dopadajícího elektromagnetického záření na těleso.
eτ2 [W·m-2] celková intenzita dopadajícího fotonového záření na povrch tělesa; eτ2A [W·m-2] část eτ2, která je tělesem pohlcena (absorpce); eτ2R [W·m-2] část eτ2, která je povrchem tělesa odražena (odrazivost); eτ2D [W·m-2] část eτ2, která tělesem prostoupí (průteplivost); a [1] součinitel relativní absorpce (poměrná tepelná pohltivost povrchu tělesa); r [1] poměrná tepelná odrazivost; d [1] poměrná průteplivost.
ZÁŘENÍ
strana 25
Mezní příklady bilance dopadajícího fotonového záření
Černé těleso pohlcuje veškerý dopadající výkon v podobě fotonového záření (a=1, r=0, d=0). Těleso, které veškerý dopadající výkon v podobě fotonového záření ze svého povrchu odráží (a=0, r=1, d=0) se nazývá bílé těleso. Těleso přes které veškerý dopadající výkon v podobě fotonového záření prochází (a=0, r=0, d=1) se nazývá dokonale průteplivé těleso či diatermní. Uvedená tělesa se v běžném prostředí nevyskytují a většinou se jedná o tělesa s kombinovanými vlastnostmi tj. část záření odrazí, část pohltí a část tělesem prostoupí. Tuhá tělesa a kapaliny jsou prakticky neprůteplivé. Jsou však tělesa, která jsou neprůteplivá jen pro některé délky vln (např. okenní sklo propouští jen paprsky světelné, ale téměř nepropouští paprsky ultrafialové a tepelné).
Vliv barvy a struktury povrchu těles na bilanci dopadajícího fotonového záření
Záleží i na kvalitě a barvě povrchu tělesa. Bílý povrch dobře odráží fotonové záření viditelné (sluneční), ale fotonové záření mimo viditelné spektrum už pohlcuje stejně dobře jako tmavý povrch. Nezávisle na barvě je odrazivost hladkých a leštěných povrchů mnohonásobně větší (alobal). Naproti tomu černá barva na hrubém povrchu (nejčastěji naftové saze) pohlcují 90 až 96 % dopadající zářivé energie. U plynů záleží většinou na velikosti molekul. Pro vlnovou délku, které vyzařují tělesa běžných teplot je vzduch například průteplivý, ale obsahuje-li vodní páru nebo CO2 je jen částečně průteplivý, což má vliv na množství zachycené energie v atmosféře při skleníkovém efektu.
Bilance dopadajícího fotonového záření na šedá tělesa
Šedá tělesa odráží stejné procento fotonů pro při jakékoliv vlnové délky. Odtud lze formulovat tzv. Kirchhoffův zákon.
Kirchhoffův zákon bilance dopadajícího fotonového záření na černá a šedá tělesa
Bude-li těleso (černé nebo šedé) přijímat fotonové záření pouze od okolních těles (které budou černé nebo šedé), bude jeho absorpce rovna poměrné zářivosti (a=ε). Odvození např. [Jícha, 2001, s. 117]. Například je-li těleso obklopeno pouze dalšími tělesy (černými nebo šedými), bude teplota jejich povrchu v ustáleném stavu stejná jako povrchu vyšetřovaného tělesa.
– Úloha 1105: –
Jaká by byla teplota povrchu desky s vlastnostmi černého tělesa ve stejné vzdálenosti od Slunce jako je střední vzdálenost Země od Slunce? Považujte odvrácenou stranu desky od Slunce za dokonale tepelně izolovanou.
Řešení úlohy je uvedeno v Příloze 1105.
Bilance dopadajícího fotonového záření na barevná tělesa
Dále se definuje barevné těleso, které odráží jen fotonové záření o určitých vlnových délkách odpovídajících jeho barvě. Například zelené těleso odráží pouze fotonové záření s vlnovou délkou odpovídající zelené barvě, viz Obrázek 249 (s. 18).

ZÁŘENÍ
strana 26

Sluneční záření

Sluneční záření má svůj původ v jaderných reakcí na Slunci, respektive se jedná o několikrát transformovanou energie z jaderné fúze vodíku v jádru Slunce. Sluneční záření je proud fotonů. V širším smyslu dopadají, alespoň na plynný okraj Země, ještě část hmoty vyvržené Sluncem (především nabité částice), která ale představuje jen zlomek energie. Z pohledu energetického toku, které představuje sluneční záření, lze také použít pojmu sluneční energie. Ohřev atmosféry a povrchu Země slunečním zářením je hlavním zdrojem energie pro klimatické procesy. Pomocí těchto procesů je na Zemi udržováno klima vhodné pro Život, protože bez Slunce by na Zemi byla teplota pouze -263 °C (bez geotermální energie -270 °C). Navíc značná část slunečního záření dopadá na Zemi ve formě světla, které zajišťuje fotosyntézu a vidění. Pomocí slunečního záření je na Zemi zajištěna energetické bilance, která umožňuje život. Sluneční záření je je také významným zdrojem energie, který využíváme na principu fototermickém při ohřevu kapalin v solárních kolektorech i na principu fotovoltaickém ve fotovoltaických panelů.

  ~  
Energetická bilance ozáření Země
Země nepohltí celý zářivý výkon Slunce směrem k Zemi. Ta část záření, kterou však pohltí po různých přeměnách (Obrázek 1286) nakonec zvýší vnitřní tepelnou energii Země a je vyzářena zpět do vesmíru, společně s geotermální energií a dalšími energiemi (kinetická energie dopadající meteoritů, slapová energie, energie uvolněná z jaderných reakcí...). V opačném případě by byla narušena energetická rovnováha Země, a její teplota by se začala zvyšovat. Naopak, pokud by Země vyzařovala do okolního vesmíru více energie, došlo by k ochlazování Země.
– 1286: –
Bilance slunečního záření při průniku atmosférou Země
100 %-představuje zářivý výkon směrem k Zemi; 31 %-odraz od horních vrstev atmosféry; -17,5 %-pohlceno atmosférou; 32,7 %-dopadá na oceány; 4,3 %-odraz od souše; 14,4 %-pohlceno souší; 0,1 %-spotřeba na fotosyntézu.
ZÁŘENÍ
strana 27
Bilance intenzity slunečního záření dopadající na povrch Země
Intenzita slunečního záření na povrchu Země je definovaná jako množství sluneční energie ve Wattech dopadající na m2. Intenzita je závislá na zeměpisné šířce a na oblačnosti v dané oblasti. Přitom rozlišujeme intenzitu přímého slunečního záření a intenzitu difúzního slunečního záření. Výsledná intenzita dopadající na povrch Země je součtem obou uvedených intenzit, viz Vzorec 504.
– 504: –
Intenzita slunečního záření blízko povrchu Země
Intenzita slunečního záření na vyšetřovaném povrchu Země: I [W·m-2] intenzita slunečního záření blízko povrchu Země; Ip [W·m-2] intenzita přímého sluneční záření; ID [W·m-2] intenzita difuzního slunečního záření.
Bilance dopadajícího přímého slunečního záření
Přímé sluneční záření je to, které při průchodu atmosférou není odraženo ani pohlceno a znovu vyzářeno a přímo dopadá na povrch Země ze směru od Slunce.
Bilance dopadajího difúzního slunečního záření
Difúzní sluneční záření je jednak to, které se odrazilo od částeček obsažených v atmosféře (vodní kapky, prach...) a změnilo směr – tzv. pružný rozptyl slunečního záření, jednak sluneční záření pocházející z nepružného rozptylu v atmosféře a odpovídající přibližně modrému spektru. Bez difúzního slunečního záření by byla obloha tmavá, plná hvězd s velmi jasným slunečním diskem, naskytl by se nám tedy pohled jako kosmonautům.
Úhrnná bilance dopadajícího slunečního záření
Vedle intenzity se udává i úhrnné množství slunečního záření na jednotku plochy za určitou dobu. Při výpočtu úhrnné energie slunečního záření dopadající na vyšetřovaný povrch je třeba vycházet i z údaje o skutečné době slunečního svitu v daném období, místo pro které je výpočet prováděn a z naklonění povrchu vůči přímému záření. Při výpočtu se tedy vychází z bilančního Rovnice 505, přitom orientaci vyšetřované plochy lze popsat parametry uvedenými na Obrázku 1287 (s. 28). Pro představu je v Tabulce 832 (s. 28) uveden denní úhrn energie dopadajícího slunečního záření a v Tabulce 1214 (s. 28) měsíční a roční úhrn pro město Brno.
– 505: –
Denní úhrn energie slunečního záření dopadající na m<sup>2</sup> plochy
QS [kWh·m-2] denní úhrn slunečního záření dopadající na m2 plochy; τ- [1] poměrná doba slunečního svitu; τskut [hod] skutečná doba slunečního svitu; τteor [hod] teoretická doba slunečního svitu (100% bezoblačná obloha); QS,teor [kWh·m-2] úhrnná energie slunečního záření dopadající na daný povrch při daném znečištění atmosféry bez oblačnosti za celý den (bývá tabelována v závislosti na stupni znečištění atmosféry a úhlu orientaci osluněné plochy); QD [kWh·m-2] úhrn energie dopadajícího difuzního záření na 1 m2 plochy. Literatura [Cihelka, 1994, s. 39].
ZÁŘENÍ
strana 28
– 1287: –
Dopad slunečního záření na obecně položenou plochu
Dopad slunečního záření na obecně položenou plochu
a [°] azimut Slunce; as [°] azimut osluněné plochy; α [°] sklon plochy od vodorovné roviny; h [°] výška Slunce nad obzorem; γ [°] úhel mezi slunečním paprskem a normálou vyšetřované plochy.
– 832: –
Průměrný denní úhrn energie dopadajícího slunečního záření pro oblast Brna
měsíc QS
α=0 α=15 α=30 α=45 α=60 α=75 α=90
1 leden 0,6972 0,8322 0,9428 1,0056 1,045 1,0546 1,049
2 únor 1,3462 1,6593 1,8787 2,0137 2,0998 2,1046 1,9916
3 březen 2,481 2,8192 3,0548 3,1474 3,0866 2,9726 2,708
4 duben 3,3506 3,6509 3,8442 3,8876 3,6463 3,2802 2,811
5 květen 4,7244 5,0848 5,3012 5,2496 4,6268 3,8556 2,9456
6 červen 5,5081 5,8308 5,9521 5,7907 5,2041 4,1464 3,0457
7 červenec 5,2868 5,7056 5,9564 5,8912 5,1596 4,2532 3,1832
8 srpen 4,1262 4,5343 4,7934 4,8452 4,5101 4,0054 3,357
9 září 2,955 3,4 3,71 3,835 3,755 3,605 3,26
10 říjen 1,4674 1,8411 2,1049 2,2699 2,3746 2,3842 2,2532
11 listopad 0,7492 0,9217 1,0658 1,1516 1,2075 1,2281 1,2265
12 prosinec 0,5004 0,5832 0,6428 0,676 0,6944 0,6776 0,6636
Denní úhrn je průměrná hodnota v daném měsíci, ve které je započítán vliv oblačnosti a znečištění atmosféry odpovídající městu (stupně znečištění atmosféry a jejich definice pro jednotlivé případy jsou uvedeny v [Cihelka, 1994, s. 22]), výpočet je proveden pro azimutový úhel as=0° (plocha orientovaná na jih). α [°]; QS [kWh·m-2]. Výpočet hodnot do tabulky je uveden v Příloze 832.
– 1214: –
Průměrný měsíční a roční úhrn energie dopadajícího slunečního záření pro oblast Brna
měsíc QS, m
α=0 α=15 α=30 α=45 α=60 α=75 α=90
1 leden 21,613 25,798 29,227 31,174 32,395 32,693 32,519
2 únor 37,694 46,460 52,604 56,384 58,794 58,929 55,765
3 březen 76,911 87,395 94,699 97,569 95,685 92,151 83,948
4 duben 100,52 109,53 115,33 116,63 109,39 98,406 84,330
5 květen 146,46 157,63 164,34 162,74 143,43 119,52 91,314
6 červen 165,24 174,92 178,56 173,72 156,12 124,39 91,371
7 červenec 163,89 176,87 184,65 182,63 159,95 131,85 98,679
8 srpen 127,91 140,56 148,60 150,20 139,81 124,17 104,07
9 září 88,650 102,00 111,30 115,05 112,65 108,15 97,800
10 říjen 45,489 57,074 65,252 70,367 73,613 73,910 69,849
11 listopad 22,476 27,651 31,974 34,548 36,225 36,843 36,795
12 prosinec 15,512 18,079 19,927 20,956 21,526 21,006 20,572
13 QS, r 1012,4 1124,0 1196,5 1212,0 1139,6 1022,0 867,01
ZÁŘENÍ
strana 29
Hodnoty jsou vypočítány z Tabulky 832. QS,m [kWh·m-2] průměrný měsíční úhrn energie dopadajícího slunečního záření; QS,r [kWh·m-2] průměrný roční úhrn energie dopadajícího slunečního záření. Výpočet hodnot do tabulky je uveden v Příloze 832.
  ~  
Solární kolektor
Je to sběrač slunečního záření, jehož prostřednictví je ohřívána teplo-nosná kapalina, nebo je solární energie koncentrována do určitého místa. Dokonalý sluneční kolektor transformuje energii slunečního záření na entalpii beze zbytku. Tato transformace se děje při dopadu slunečního paprsku na plochu absorbéru, kterým je pohlcen, viz Obrázek 1288.
– 1288: –
Základní typy a části slunečních kolektorů
(a) plochý kolektor; (b) žlabový (koncentrující) kolektor; (c) vakuový kolektor s odrazovou plochou; 1-transparentní vrstva; 2-absorpční plocha; 3-izolace a skříň kolektoru; 4-odrazná plocha (reflektor); 5-skleněná trubice; 6-lesklý povlak na vnitřním povrchu trubice; 7-odrazový povlak pro tepelné záření; 8-absorpční trubky. Více o konstrukci [Cihelka, 1994, s. 96], [Heinz and Späte, 2003, s. 29].
Vlastnosti absorbéru solárního kolektoru
Reálný absorbér vyzařuje zpět do prostoru fotonové záření. Toto záření představuje ztrátu na výkonu kolektoru, proto dokonalý povrch absorbéru by měl mít součinitel relativní absorpce roven 1 a emisivitu rovnu 0. V reálných podmínkách lze pomocí selektivní vrstvy (například tenká vrstva tmavého kovu, jako je nikl či chrom, nanesená na vrstvu lesklého leštěného kovu – obvykle hliník) dosáhnout poměru součinitele relativní absorpce a emisivity mezi 5 až 10.
Uložení absorbéru v solárním kolektoru
Celý absorbér bývá uložen v izolované skříní a ve směru slunečního záření zakryt transparentní vrstvou (tj. průhledná) s co nejmenší poměrnou tepelnou odrazivostí (pokud možno nulovou) průchodnou pro sluneční paprsky (sklo). Tato vrstva uzavírá kolektor proti odvodu tepla prouděním okolního vzduchu a chrání absorbér před atmosférickými vlivy (sníh, déšť, prach...). Pro sezónní provoz jsou určeny absorbční matrace, které nejsou umístěné v izolované skříni a chráněné transparentní vrstvou. Využívají se například pro ohřev vody v bazénech v létě.
Limity solárních kolektorů a koncentrující kolektory
Kolektory z Obrázku 1288 jsou určeny především pro ohřev vody do 100 °C, výjimečně 200 °C. Existují ale i aplikace pracující s teplotami až 2000 °C pomocí koncentrace slunečních paprsků do ohniska, viz Obrázek 508 (s. 30). Takovým kolektorům se říká koncentrující kolektory. Nevýhodou těchto kolektorů je, že dokážou využít pouze přímé sluneční záření nikoliv difuzní.
ZÁŘENÍ
strana 30
– 508: –
Koncentrující kolektory
Koncentrující kolektory
(a) parabolické zrcadlo; (b) solární věž; (c) koncentrace paprsků pomocí čočky; (d) koncentrace paprsků pomocí Fresnelovy čočky. 1-přímé sluneční paprsky; 2-odražené sluneční paprsky; 3-ohnisko (sběrač, kaverna); 4-natáčivá zrcadla; 5-kaverna; 6-sloup.
Návrh solárního systému představuje především rozhodnutí o velikosti a sklonu plochy solárních kolektorů na základě výpočtu, který vychází ze spotřeby tepla daného objektu pro jednotlivá období roku a předpokládaných energetických zisků v těchto obdobích. Lze očekávat velký rozdíl energetických zisků mezi zimou a létem i mezi různě skloněnými solárními kolektory, viz Tabulka 1214 (s. 28). Rady na co si dát pozor při projektování solární soustavy, pořizování solárních kolektorů a další doporučení s tím související naleznete v článku Chyby v instalacích solárních soustav: solární kolektory [Matuška, 2015].
– Úloha 507: –
Navrhněte velikost plochy solárního plochého kolektoru pro ohřev vody pro období prosinec. Teplo je určeno pro ohřev teplé užitkové vody v oblasti Brna. Denní spotřeba 120 l a voda se v kolektoru ohřívá z teploty 10 °C na teplotu 50 °C. Kolektor je otočený na jih se sklonem 90°. Výsledek porovnejte s velikostí solárního kolektoru pro měsíc červenec a sklon kolektoru 30°. Řešení úlohy je uvedeno v Příloze 507.
  ~  
Fotovoltaický panel
Standardní fotovoltaický panel se skládá z fotovoltaických (solárních) článků o velikosti okolo 10x10 cm. Fotovoltaický článek je tvořen destičkou s čistého křemíku tloušťky 0,3 až 0,5 mm. Na vrchní a spodní straně destičky je obohacen křemík rozdílnými příměsmi tak, aby tyto rozdíly vytvářely na horní vrstvě záporný náboj a na spodní kladný – horní vrstva je polovodič typu N(-), dolní polovodič je typu P(+). Potřebných vlastností polovodiče typu N se dosahuje například příměsí fosforu, u polovodiče typu P příměsí boru. Rozdíl el. nábojů obou desek vytvoří mezi nimi napětí o velikosti přibližně 0,5 V, viz Obrázek 509 (s. 31). Při dopadu slunečního záření o určité vlnové délce na horní vrstvu dojde v důsledku fotoelektrického jevu k uvolnění elektronů ve vrchní vrstvě křemíku, které jsou v důsledku napětí odváděny přes spotřebič ke spodní vrstvě pomocí sběrných vodičů na vrchní vrstvě a vodivé destičky na spodní vrstvě. Tímto způsobem vznikne elektrický obvod.
ZÁŘENÍ
strana 31
– 509: –
Schéma fotovoltaického článku
Schéma fotovoltaického článku
1-polovodič typu N; 2-polovodič typu P; 3-směr ozáření článku; 4-sběrné vodiče; 5-el. spotřebič. Aby docházelo k efektivnějšímu pohlcování slunečního záření je vrchní vrstva článků potažena antireflexní vrstvou. Více o funkci a charakteristice například v [Henze and Hillebrand, 2000].
Obvyklé energetické parametry fotovoltaických článků
Velikost proudu, respektive výkon jednoho článku závisí na jeho ploše a pohybuje se okolo 2...3 až 6 A max. Výkon panelu závisí na počtu destiček, které jsou na něm umístěny. Pro zvýšení napětí se jednotlivé články zapojují sériově. Teoretický limit účinnosti fotovoltaického článku (množství vyrobené el. energie ku množství dopadající sluneční energie na článek) na bázi křemíku je 31 % (přičemž nejlepší laboratorní články dosahují účinnosti 26 %) [Minkel et al., 2011, s. 24], viz také Shockley-Queisserův limit. Vyšší účinnost mají články, které mají sběrné vodiče pouze na spodní straně (technolgi Back Contact (BC)), takže se tím zvýší osluněná plocha článku. Tento typ článku, ale zatím nelze hromadně vyrábět, výrobní linky jsou teprve ve vývoji.
Snižování účinnosti fotovoltaických panelů během provozu
Většina výrobců garantuje, že účinnost fotovoltaických panelů za 25 let poklesne maximálně o 20 %. Realita je však taková, že za 25 let provozu se snižuje účinnost pouze o 6 až 8 % [Bechník, 2011, s. 12]. Nutno podotknout, že menší čísla platí pro panely již na počátku s nižší účinností a naopak, protože prostor pro opotřebení je u účinnějších panelů větší.
Wp fotovoltaického panelu
Protože výkon fotovoltaického panelu je odvislí od množství energie slunečního záření na jeho plochu dopadající, uvádějí výrobci maximální výkon panelů v jednotkách Wp, kde index p znamená peak.
ZÁŘENÍ
strana 32

Odkazy

ŠKORPÍK, Jiří, 2024, Jaderná energie a technologie pro její využití , Transformační technologie, Brno, ISSN 1804-8293, https://transformacni-technologie.cz/jaderna-energie-a-technologie-pro-jeji-vyuziti.html.
ASIMOV, Isaac, 1978, Slova vědy-co se za nimi skrývá, Panorama, Praha. Orig. Words of Science and History behind them a More Words of Science. České vydání doplnil a upravil Koryta Jiří.
ATKINS, P. W., 2005, Periodické království: cesta do země chemických prvků, Academia, Praha, ISBN 80-200-1185-4.
BECHNÍK, Bronislav, 2011, Fotovoltaika: Recyklace panelů na konci životnosti, Alternativní energie, č. 4.
BĚHOUNEK, František, 1945, Svět nejmenších rozměrů, Jaroslav Tožička, Praha.
CHOWN, Marcus, 2010, Kvantová teorie nikoho nezabije, Kniha Zlín, Zlín, ISBN 978-80-87167-59-0. Překlad z anglického originálu Quantum Theory Cannot Hurt You, 2009, Vydaného nakladatelstvím Faber and Faber Ltd.
CIHELKA, Jaromír, 1994, Solární tepelná technika, T. Malina, Praha.
GARLÍK, Bohumír, 2012, Energie elektromagnetického pole, inteligentní budovy a lidský organismus, Energetika, 62(12), ČSZE, Praha, ISSN 0375–8842.
GONZALEZ, F. M., et al., 2021, Improved Neutron Lifetime Measurement with UCNτ, Phys. Rev., 127(16), DOI: 10.1103/PhysRevLett.127.162501.
HÁLA, Jiří, 1998, Radioaktivita, ionizující záření, jaderná energie, KONVOJ, Brno, ISBN 80-85615-56-8.
HEINZ, Ladener, SPÄTE, Frank, 2003, Solární zařízení, Grada Publishing, Praha, ISBN 80-247-0362-9.
HENZE, Andreas, HILLEBRAND, Werner, 2000, Elektrický proud ze Slunce, HEL, Brno, ISBN 80-86167-12-7.
HORÁK, Zdeněk, KRUPKA, František, 1976, Fyzika, SNTL, Praha.
HOTTEL, Hoyt, SAROFIM, Adel, 1979, Přenos tepla zářením, Státní nakladatelství technické literatury, Praha.
JÍCHA, Miroslav, 2001, Přenos tepla a látky, Vysoké učení technické v Brně, Brno, ISBN 80-214-2029-4.
MATUŠKA, Tomáš, 2015, Chyby v instalacích solárních soustav: solární kolektory, TZB-info, Topinfo s.r.o., Praha, ISSN 1801-4399. http://www.tzb-info.cz
MINKEL, Jr., COLLINS, Graham, BIELLO, David, TRIVEDI, Bijal, ASHLEY, Steven, CHOI, Charles, LEMONICK, Michael, 2011, 7 radikálních energetických řešení, Scientific American, srpen, Espero publishing, s.r.o., Praha, ISSN 1213-7723.
PEIERLS, R., E., 1963, Zákony přírody, Orbis, Praha. Z anglického originálu "The Laws of Nature", vydaného nakladatelstvím George Allen & Unwin v Londýně roku 1957.
VALENTIN, J., as editor, 2007, The 2007 Recommendations of the International Commission on Radiological Protection, ICRP, Ottawa, ISBN 978-0-7020-3048-2. Vyšlo v českém překladu: Doporučení Mezinárodní komise radiologické ochrany 2007.
VOHLÍDAL, Jiří, JULÁK, Alois, ŠTULÍK, Karel, 1999, Chemické a analytické tabulky, Grada, Praha, ISBN 978-80-7169-855-5.
ZOUL, David, SOBEK, Kamil, 2025, Transmisní měření zeslabovacích charakteristik materiálů vůči gama záření metodou polovodičové gama spektrometrie, Jaderná energie, 1/2025, 6(71), Řež, ISSN 2694-9024.
 
 
– e-shop –
Jestliže byl článek pro vás užitečný, pak si kupte plnou verzi článku v mém e-shopu. Velmi vám za to děkuji a přeji, aby se vašim projektům dařilo.

Jiří Škorpík
autor
 
Vysvětlivky
©Jiří Škorpík, LICENCE
O stránkách Pro studenty   LinkedIn e-shop Kontakt